MRI bij cerebrale aneurysmaclip
Uitgangsvraag
Wat is het beleid van de MR veiligheidsdeskundige bij een MRI-onderzoek bij een patiënt met een cerebrale aneurysmaclip?
De uitgangsvraag omvat de volgende deelvragen.
- Wat is het beleid als het type van de geïmplanteerde clip bekend is?
- Wat te doen als het type clip niet te achterhalen is?
Aanbeveling
Aanbeveling-1
1. Het beleid als een patiënt met indicatie voor MRI een cerebrale aneurysma clip heeft.
Achterhaal het jaar en het ziekenhuis van implantatie van de cerebrale aneurysmaclip bij een patiënt met een indicatie voor MRI-onderzoek. Dit kan op basis van herleidbare gegevens van de patiënt, zoals het operatieverslag, EPD of door navraag bij de patiënt of zijn of haar behandelend arts.
Indien het jaartal van implantatie 2000 of later is en de clip in Nederland* is geplaatst, kan MRI-doorgang vinden en kan de clip als ‘MR voorwaardelijk’ voor een ‘whole body’ MRI-scanner met horizontale/gesloten supergeleidende magneet met een veldsterkte van 1,5 en 3 T beschouwd worden.
Indien implantatie in Nederland vóór 2000 heeft plaatsgevonden, bepaal op basis van Tabel 4 of het onwaarschijnlijk is dat de clip ferromagnetisch is. Zo ja, beschouw dan de clip als ‘MR voorwaardelijk’ met gelijke voorwaarden als hierboven.
In alle andere gevallen: achterhaal het type clip en kijk in tabel 1 of de clip MR onveilig is of niet. Als de clip MR onveilig is kan er geen MRI plaatsvinden tenzij zeer grote noodzaak, dan in overleg en consensus patiënt. Als het type clip niet in tabel 1 staat, is de clip ’MR voorwaardelijk’ met gelijke voorwaarde als hierboven. Het type clip kan achterhaald worden door het operatieverslag, EPD of middels navraag bij de arts die de clip geplaatst heeft.
* Nederland of in een land/ziekenhuis met gelijkwaardig niveau van gezondheidszorg.
Aanbeveling-2
2. Indien hierboven vermelde informatie niet te achterhalen is:
Onderzoek of de patiënt eerder MRI-onderzoek heeft ondergaan na implantatie van de clip. Indien eerder MRI-onderzoek heeft plaatsgevonden:
- Laat de MR veiligheidsdeskundige de beelden beoordelen rekening houdend met de gebruikte veldsterkte en type MR-scanner. Vraag na of de patiënt enig fysiologisch effect heeft ervaren tijdens of na dit eerdere MRI-onderzoek. Aan de hand van de grootte van de artefacten en de gebruikte MRI-sequentie kan een inschatting gemaakt worden van de mate van ferromagnetisme van de clip. Indien de clip als MR onveilig wordt beoordeeld, kan er geen MRI plaatsvinden.
- Artefacten moeten ook beoordeeld worden in relatie tot het nieuw gevraagde MRI-onderzoek. Als artefacten leiden tot een niet-diagnostische scan dan dient het MRI-onderzoek geen doorgang te vinden.
- Een nieuw MRI-onderzoek kan dan plaatsvinden tot maximaal dezelfde veldsterkte bij een gesloten ‘whole body’ MRI; dit ter beoordeling door de MR-veiligheidskundige.
Schat, indien het type clip niet te achterhalen is, op basis van het ziekenhuis en het jaar van clip implantatie met tabel 4, 5 en of 7, en indien beschikbaar, met informatie van een vorig MRI-onderzoek, in wat de kans is dat er letsel bij de patiënt ontstaat door MRI. Maak, in overleg met radioloog en patiënt, een afweging tussen kans op letsel en het belang van diagnostiek.
Aanbeveling-3
3. Scan, indien onduidelijk is of de clip MR veilig is maar na een risico-baten afweging is besloten om een MRI-onderzoek uit te voeren, volgens de volgende aanbevelingen:
- Informeer de patiënt en vraag zijn/haar toestemming.
- Scan bij 1,5 T met een ‘whole body’ MRI-scanner met horizontale/gesloten supergeleidende magneet als de kans op een ferromagnetisch clip groter is dan ‘zeldzaam’.
- Houd het hoofd van de patiënt zoveel mogelijk centraal in de opening van de scanner, en niet bij de randen van de opening van de scanner.
- Positioneer de patiënt ‘feet first’ voor alle scans behalve voor MRI onderzoeken van het hoofd.
- Ondersteun/fixeer het hoofd van de patiënt zo goed mogelijk om beweging te voorkomen.
In Figuur 1 is een stroomschema weergegeven met een beslisboom voor MRI-onderzoek bij patiënten met een cerebrale aneurysmaclip.
Overwegingen
Samenvatting van MR-veiligheidsinformatie van aneurysmaclip-fabrikanten
Een uitgebreide database met MR-veiligheidsinformatie van aneurysmaclips staat op de website http://www.mrisafety.com/ van Shellock. Deze website bevat in maart 2025 471 soorten clips (dus meer dan type clips dan aneurysmaclips, hoewel subtypes vaak gebundeld zijn, bijvoorbeeld hetzelfde model in verschillende lengtes). Hiervan zijn er 216 geclassificeerd als ‘MR veilig’, 235 als ‘MR voorwaardelijk’ en 20 als ‘MR onveilig’. De definitie van MR veilig (MRI safe) die Shellock hanteert, verschilt van de definitie van de ASTM standaard en die leveranciers hanteren. Shellock definieert clips als MR veilig, maar geeft daarbij ook een veldsterkte limiet. Daarmee is ‘MR veilig’ tot ‘MR voorwaardelijk’ geworden: er is daarmee een beperking voor het gebruik.
De ‘MR voorwaardelijke’ clips zijn door Shellock in drie subcategorieën onderverdeeld: de meerderheid (191 clips) als ‘voorwaardelijk 6’, 30 clips als ‘voorwaardelijk 5’, 14 clips als ‘voorwaardelijk 8’.
Voorwaardelijk 6 en 8 corresponderen met specifieke condities zoals vastgesteld door de ASTM (voorwaardelijk 6: ≤ 3 T, ‘whole body’ SAR ≤ 2 W/Kg en spatiële gradiënt ≤ 7,2 T/m; voorwaardelijk 8: slechts twee veldsterktes 1,5 en 3 T, verder identieke condities). De categorie ‘voorwaardelijk 5’ refereert aan de voorwaarden zoals gepubliceerd in de documentatie van de fabrikanten, en zijn MR voorwaardelijk tot en met 3 T. Restricties voor de veldsterkte zijn vaak het gevolg van het slechts bij één veldsterkte testen, en betekenen niet noodzakelijkerwijs een reëel gevaar bij hogere of andere veldsterkte dan de door de fabrikant gespecificeerde veldsterkte.
Tabel 1 geeft een overzicht van de aneurysmaclips die gerapporteerd zijn als MR onveilig. Tabel 2 geeft een overzicht op basis van het materiaal van de clip. De indeling van de clips op fabrikantnaam staat in tabel 3. De jaren waarin de bepaalde type clips geproduceerd zijn is niet gepubliceerd. De database van Shellock is de basis voor deze tabellen, maar gegevens zijn aangevuld met informatie van de database van MagResource (MR:comp GmbH, Gelsenkirchen, Duitsland) en van informatie van clip fabrikanten.
Tabel 1. MRI onveilige cerebrale aneurysmaclips*#
|
Codman Vari-Angle (17-7PH) |
Kapp, Curved (404 SS), aneurysmaclip |
|
Codman Vari-Angle Micro (17-7PH) |
Kapp, Straight (404 SS), aneurysmaclip |
|
Codman Vari-Angle Spring Micro (17-7PH) |
Mayfield (301 SS), aneurysmaclip |
|
Drake (301 SS), aneurysmaclip |
Mayfield (304 SS), aneurysmaclip |
|
Drake (DR 14, DR 16, DR 21), aneurysmaclip |
McFadden (301 SS), aneurysmaclip |
|
Downs Multi-Positional, aneurysmaclip |
Scoville EN-57-J, EN-58-J** |
|
Housepian, aneurysmaclip |
Sundt-Kees Multi-Angle (17-7PH) |
|
Heifetz (17-7PH) |
Pivot (17-7PH) |
|
Kapp (405 SS), aneurysmaclip |
Yasargil aneurysmaclip (alle FD-modellen, ook 316 SS***) |
* Op basis van risico dat primair een gevolg is van de aantrekkingskracht door het statische magnetisch veld.
** Het materiaal van de Scoville-Lewis aneurysmaclip is tijdens de productieperiode vervangen van austeniet naar martensiet (Mujovny, 2010). Hierdoor is er veel verwarring over de MR-veiligheid van deze clip aangezien austeniet als MR veilig wordt beoordeeld (Shellock op MRISafety.com, waarbij EN58-J wordt vermeld als MR veilig bij 1,5 T) en martensiet als MR onveilig (Scholler, 2005; Becker, 1988) genoemd als ‘EN57 J stainless steel’. En58J wordt door Burtscher (1998) echter ferromagnetisch genoemd. Aangezien het onduidelijk is in de literatuur moet deze clip als MR onveilig worden beschouwd.
*** De lijst bevat een tweede vermelding voor Yasargil: FD-model, maar dit is een duplicaat vermelding want deze valt al onder “All FD models”. Deze clips zijn geclassificeerd als MR onveilig door Shellock, vermoedelijk na een brief van de fabrikant die stelt dat de FD-modellen de enige zijn die gemaakt zijn van roestvast staal (316 SS), en daarom niet geschikt voor MRI. Desondanks classificeert Shellock de Yasargil (316 SS) aneurysmaclip als MR-veilig bij 1,5 Tesla. Bovendien rapporteert Shellock dat alle andere producten (anders dan clips) gemaakt van RVS 316 SS MR veilig of MR conditioneel zijn. Ook Becker (1988) stelt dat RVS 316 SS (of de Yasargil clip) slechts licht ferromagnetisch is, en daarom relatief veilig.
# Tabel gecontroleerd in 24 januari 2025, ongewijzigd.
Tabel 2. Aneurysmaclipindeling op basis van gebruikt materiaal
|
Materiaal |
Opmerkingen |
Classificatie |
|
17-7PH |
SS* |
Altijd MR onveilig |
|
301SS, 304SS, 404SS, 405SS |
|
Altijd MR onveilig |
|
DR14, DR16, DR21 |
|
Altijd MR onveilig |
|
EN-57-J |
Brits equivalent van 431SS martensiet, geproduceerd door Scoville |
Altijd MR onveilig** |
|
EN-58-J |
Brits equivalent van 316SS austeniet, geproduceerd door Scoville** |
Hoewel austeniet niet ferromagnetisch is (MR veilig), komt er bij productie van deze clip mogelijk ook beperkt ferromagnetisch materiaal vrij MR veilig bij 1,5 T |
|
316SS |
B.v. Yasargil 316SS, zwak ferromagnetisch volgens Becker, 1988. |
MR veilig bij 1,5 T |
|
Elgiloy |
Kobaltlegering |
MR veilig bij 1,5 T en bij 3 T |
|
MP35N |
Kobaltlegering |
MR veilig bij 1,5 en 3 T, voorwaardelijk 6 bij 3 T |
|
PEEK |
Alleen bij Peter Lazic, aneurysmaclip die helemaal van fiber versterkte kunststof is gemaakt |
MR voorwaardelijk 8 |
|
Phynox |
Kobaltlegering |
MR veilig bij 1,5 en 3 T, voorwaardelijk 5 bij 3 T (b.v. verschillende FE-modellen van Yasargil) of voorwaardelijk 6 bij 3 T |
|
Perneczky SS |
|
MR veilig bij 1,5 en 3 T |
|
Titanium |
|
MR veilig bij 1,5 en 3 T, voorwaardelijk 5 bij 3 T (b.v. verschillende FT-modellen van Yasargil), Voorwaardelijk 6 bij 3 T of voorwaardelijk 8 bij 3 T. |
|
Titaniumlegering |
Soms beschreven als Ti6Al4V |
MR veilig bij 1,5 en 3 T |
|
Zilverlegering |
B.v. Stevens |
MR veilig bij 1,5 T |
* SS, stainless steel is roestvaststaal.
** Zie noot** tabel 1.
Verdere informatie over gebruikte materialen en samenstelling van de legeringen kan gevonden worden in de literatuur (Becker, 1988; Kossowsky, 1983).
Tabel 3. aneursymaclipindeling op fabrikant
|
Fabrikant |
Opmerkingen |
Classificatie |
|
Codman |
MP35N |
Voorwaardelijk 6; 17-7PH ‘vari-angle’ modellen: MR onveilig |
|
Downs |
Eén type: 17-7PH |
MR onveilig |
|
Drake |
301SS, DR14, DR16, DR21 |
Allemaal MR onveilig |
|
Heifetz |
17-7PH |
MR onveilig; Elgiloy: MR veilig bij 1,5 T |
|
Housepian |
Eén type |
MR onveilig |
|
Kapp |
404 SS, 405 SS |
Beide MR onveilig |
|
Kopitnik |
Aesculap |
MR voorwaardelijk 5 bij 1,5 T |
|
Mayfield |
301SS ,304SS |
Beide MR onveilig |
|
Mc Fadden |
|
301SS:MR onveilig; MP35N: MR veilig bij 1,5 T |
|
Olivercrona |
Eén type |
MR veilig bij 1,44T |
|
Perneczky |
|
Titaniumlegering: MR veilig bij 1,5 T; SS-legering (oudere modellen): MR veilig bij 3 T |
|
Peter Lazic |
Titanium en PEEK |
Allen MR veilig of MR voorwaardelijk |
|
Pivot |
17-7PH |
MR onveilig |
|
Spetzler |
|
Ti6Al4V (Titanium legering): MR veilig bij 1,5 en 3 T; puur titanium: MR veilig bij 3 T |
|
Scoville |
EN-58-J/EN-57-J |
Hangt af van samenstelling; indien onbekend: MR onveilig* |
|
Stevens |
Zilverlegering |
MR veilig bij 1,5 T |
|
Sugita** |
|
Titanium legering: MR veilig bij 1,5 T; Elgiloy, hetzij MR veilig bij 1,5 T hetzij veilig bij 3 T |
|
Sundt-Kees |
|
MP35N: Voorwaardelijk 6; 17-7PH: MR onveilig; P35N: MR veilig bij 1,5 T |
|
Sundt Slim line Codman |
MP35N |
MR veilig bij 1,5 en 3 T |
|
Yasargil |
|
Phynox, Titanium: beide Voorwaardelijk 6, of Voorwaardelijk 5 bij 3 T, of veilig bij 3 T; Titanium legering: MR veilig bij 1,5 en 3 T; één austenitic SS-clip, de FD series, is MR onveilig*** |
* Zie noot** tabel 1.
** Alle Sugita-producten zijn volgens de fabrikant vanaf het begin van de productie MR Voorwaardelijk (Titanium) of MR veilig (Elgiloy).
*** Zie noot*** tabel 1.
Samenvatting informatie uit incidentdatabases van implantaten.
Voor deze module zijn de volgende incident databases van implantaten doorzocht (zie voor de zoekstrategie bijlage Verantwoording):
- De database van de Inspectie Gezondheidszorg en Jeugd (IGJ) met veiligheidsmeldingen (vanaf 15 december 2015 tot 14 feb 2025).
- Het archief van Inspectie Gezondheidszorg (IGZ).
- De ‘Implant’ en ‘Event’ database van de het International Consortium of Investigative Journalists (ICIJ) (tot jan 2019.
- De FDA Medical Device Recalls database (2002-2025).
- De FDA MDR (1984-1997).
- De FDA Medsun database (2006-2025).
- De FDA MAUDE database (1992-2025).
In totaal zijn er meldingen van tien incidenten gevonden van MRI bij patiënten met een cerebrale aneurysmaclip. Twee incidenten waren fataal, waarschijnlijk door de MR incompatibiliteit van de aneurysmaclip; de eerste heeft plaatsgevonden in 1992 en staat beschreven in de literatuur (Klucznik, 1993) als ook in verschillende meldingen in de MDR en MAUDE-databases (in onze interpretatie gaat het om hetzelfde incident: MDR M349790, M359096 en M359096; MAUDE 1109); een tweede fataal incident is gerapporteerd in de MAUDE-database in 2001 (MAUDE 328633). Twee incidenten zijn er gevonden met ernstige schade waarschijnlijk door de aneurysmaclip in combinatie met MRI, één in 1993 (MDR-database M518365), de ander in 1997 (MAUDE-database 47858). Daarnaast zijn er twee andere incidenten gevonden waarbij een patiënt met een cerebrale aneurysmaclip is overleden na MRI in 2016 en 2018 (MAUDE-database 5980600, 55750140, 5895839 en 7289224), maar in beide gevallen lijkt de aneurysmaclip niet de meest waarschijnlijk doodsoorzaak. Dit 2016 incident is ook gemeld in de ‘ISMRM safety group’, waarbij toentertijd wel de gedachte was dat dit incident clip gerelateerd was. Daarnaast zijn er drie meldingen gevonden waarbij MRI-onderzoek werd verricht in een patiënt met een onbekende, waarschijnlijk ferromagnetische, en zeker ferromagnetische cerebrale aneurysmaclip zonder patiëntschade (Becker 1988; MAUDE 1453661, 7609598). Tenslotte werd één cases gevonden waarbij een clip die MR voorwaardelijk is bij 1,5 T op 3 T werd gescand (MAUDE 255079248).
Enquête over gebruik van type aneurysmaclips in Nederland
Omdat er geen informatie in de literatuur is gevonden over zoekvraag 2b, is door de werkgroep een enquête uitgezet onder alle Nederlandse ziekenhuizen waar cerebrale aneurysmaclips geplaatst worden. Hierin werd gevraagd vanaf welke jaar alle geïmplanteerde cerebrale aneurysmaclips in het instituut niet-ferromagnetisch waren. Tevens werd het percentage niet ferromagnetische clips in de daar voorafgaande jaren gevraagd, alsook een schatting van het totaal aantal geïmplanteerde clips per jaar in die jaren.
Deze enquête is ingevuld in het voorjaar 2018, met een respons van 100%. In tabel 4 en 5 staan de resultaten van deze enquête.
Tabel 4. Jaartal vanaf wanneer het onwaarschijnlijk is dat een geïmplanteerde aneurysmaclip ferromagnetisch is, afhankelijk van ziekenhuis van implantatie (volgens opgave in de enquête)
|
Ziekenhuis van Implantatie |
Jaartal vanaf wanneer het onwaarschijnlijk is dat een geïmplanteerde aneurysmaclip ferromagnetisch is |
|
Amsterdam UMC, beide locaties |
1995 |
|
Erasmus MC |
1989* |
|
ETZ Elisabeth |
1990 |
|
Haaglanden Medisch Centrum |
1995 |
|
ISALA |
1990 |
|
LUMC |
1980 |
|
MUMC |
2000 |
|
Radboud UMC incl. Canisius Ziekenhuis |
1988 |
|
UMCG |
1990 |
|
UMCU |
1986 |
* Herinterpretatie van de enquêteresultaten betreffende Aesculap Yasargil clip FD-model (ferromagnetisch) en FE model (niet ferromagnetisch) t.o.v. eerste versie van deze richtlijn module n.a.v. publicatie Hofman 2024.
Tabel 5. Verwachting dat een clip wel/niet ferromagnetisch is wanneer ziekenhuis van implantatie in Nederland onbekend is (bepaald op basis van tabel 4 en geschatte aantal implantaties per instituut)
|
Datum van plaatsing in Nederland |
Zekerheid dat clip niet ferromagnetisch is* |
Kans dat clip ferromagnetisch is |
|
2000 en later |
>99.9% |
<0.1% |
|
1995 - 1999 |
97% |
onbekend** |
|
1990 - 1994 |
92% |
onbekend** |
|
1986 - 1989 |
47% |
onbekend** |
|
1980 - 1985 |
3% |
onbekend** |
|
voor 1980 |
0% |
>90% |
* Bij het uitvragen in de enquête werd per instituut eenduidig gereageerd op de vraag vanaf welke datum alle geïmplanteerde clips niet ferromagnetisch waren. Om tot deze getallen te komen is aangenomen dat er vóór het genoemde jaar per instituut "100% niet ferromagnetisch" alleen ferromagnetische clips zijn geplaatst, dit terwijl in de jaren daarvoor vaak al een deel van de gebruikte clips niet ferromagnetisch was. Het percentage niet ferromagnetische clips kan dus hoger liggen.
** Het gebruik van ferromagnetische clips in de jaren 1980 tot 2000 kon niet eenduidig worden vastgesteld.
Hierbij dient opgemerkt te worden dat in de jaren voorafgaand aan het beleid dat alle geïmplanteerde clips niet ferromagnetisch waren, in de jaren daarvoor al een significant deel van de clips ook niet ferromagnetisch waren. Echter het percentage daarvan bleken we niet eenduidig te kunnen vaststellen. De werkgroep neemt aan dat in landen/ziekenhuizen met een vergelijkbare standaard van gezondheidszorg, een gelijksoortig beleid is gevoerd rondom type clip implantaties.
Indeling risico’s implantaten in hoofdklassen
In het algemeen kunnen risico’s van metallische implantaten in de MRI in de volgende hoofdklassen ingedeeld worden:
- Risico op verplaatsing en rotatie van het implantaat door de aanwezigheid van het statische magneetveld en de spatiële gradiënt van dit veld.
- Risico op opwarming van het implantaat door interactie met het RF-veld.
- Risico op trilling of inductie van stromen door de oscillerende magnetische veldgradiënten die worden toegepast voor de ruimtelijke codering van het MRI-signaal.
- Artefact in het MRI-beeld.
- Risico van krachten door het Lenz-effect bij snelle beweging van geleidende implantaten in het statisch magnetisch veld van de MRI-scanner.
- Risico op verstoring van de werking van het implantaat.
1. Risico’s als gevolg van verplaatsing en rotatie
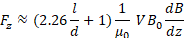
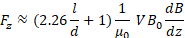
Het effect van verplaatsing en draaiing van de clip in het magnetische veld en de spatiële gradiënt ontstaat door de kracht die elk magnetisch materiaal (diamagnetisch, paramagnetisch en ferromagnetisch) ondervindt in een magneetveld gradiënt, en een koppel in een magneetveld. Voor ferromagnetische materialen in de huidige klinisch gebruikte MRI-scanners (1,5 tot 3 Tesla) zijn deze krachten en koppels groot ten opzichte van de zwaartekracht. Deze materialen worden magnetisch verzadigd in de tunnel van een 1,5 of 3 T scanner, waarbij de aantrekkingskracht (Fz) bepaald wordt door de spatiële gradiënt van het statische magneetveld (dB/dz), en de maximale torsie (Tmax) bepaald wordt door het kwadraat van het verzadigde magnetisch veld (McRobbie, 2020):
waarbij µ0 de magnetische permeabiliteit in het luchtledige is, V het volume van het object, en Bsat het veld waarbij de magnetisatie van het implantaat is verzadigd. De maximale torsie is vorm afhankelijk (Tang, 2020), en de gegeven formule geldt voor een cilinder met diameter d en lengte l. De actuele torsie is afhankelijk van de hoek (θ) tussen het statische veld (B0) en de lengteas van de cilinder, en is maximaal bij 45 graden. De dB/dz, van belang voor de aantrekkingskracht, is groot rond de tunnelopening van de scanner, met maximale waarden tegen de rand van de tunnel bij een ‘whole body’ MRI-scanner met horizontale/gesloten supergeleidende magneet van 1,5 of 3 T. De torsie is gemaximaliseerd als verzadiging is bereikt, typisch in de tunnel. De aantrekkingskrachten zijn gelijk aan of kleiner dan de maximale torsie krachten, afhankelijk van de vorm (McRobbie, 2020). Voor een onverzadigd ferromagnetische cilinder is de aantrekkingskracht en torsie gegeven door (McRobbie, 2020):
De krachten voor diamagnetische en paramagnetische materialen met een lage magnetische susceptibiliteit zijn daarentegen verwaarloosbaar klein bij deze MRI-systemen (McFadden, 1999). Voor paramagnetische materialen met een hoge magnetische susceptibiliteit kunnen deze krachten wel van belang zijn, aangezien ze van zowel de magnetische veld gradiënt, de magnetische susceptibiliteit als van de vorm van het object afhangen, en moet per type materiaal gekeken worden.
Aneurysmaclips zijn gemaakt van verschillende metalen en legeringen (Mc Fadden, 2012). In het verleden zijn veel clips van ferromagnetisch materiaal geplaatst. Vroege clips werden gemaakt van ferromagnetisch RVS (zoals SS 301-405, of DR). Later zijn de materialen voor de productie van clips veranderd naar niet-ferromagnetische materialen als titanium of met gebruik van legeringen die titanium, kobalt, chroom en of nikkel bevatten zoals MP35N, Phynox en Elgiloy.
Het meeste ernstige gevolg van verplaatsing en rotatie van een ferromagnetische aneurysmaclip is vaatschade resulterend in een fatale bloeding (Klucznik, 1993). Twee dodelijke incidenten zijn gerapporteerd in 1992, en 2001, en twee gevallen met ernstige schade (Klucznik, 1993; MAUDE Database; Hofman, 2024). Daarentegen is er ook een casus beschreven bij laagveld (<0,6 T) waarbij er geen gevolgen waren van MRI ferromagnetische aneursymaclip (Becker, 1988), en in de MAUDE-database zijn twee gevallen gemeld van een onbekend type, of waarschijnlijk ferromagnetische aneurysmaclip zonder dat bij MRI-onderzoek patiëntschade ontstond (Hofman, 2024). Dus het precieze risico is moeilijk in te schatten, en hangt van meer factoren af. Echter ferromagnetisch aneurysmaclips zijn een absolute contra-indicatie voor het ondergaan van een MRI-onderzoek (Klucznik, 1993; Johnson, 1993; Shellock, http://www.mrisafety.com/). Aneurysmaclips gemaakt van niet-ferromagnetisch materiaal (zoals Phynox, Elgiloy, MP35N, titanium of legeringen gebaseerd op titanium, en austenitische RVS soorten) zijn MR voorwaardelijk. In mei 1994 heeft de FDA alle fabrikanten van clips aangeschreven met het verzoek om alle gegevens en informatie betreffende de uitgevoerde tests te overleggen en, indien er geen tests waren uitgevoerd, in de gebruiker-informatie te vermelden dat de clip ‘niet getest is voor MRI-compatibiliteit’ (Kanal, 1996).
Vanwege het risico en de verplichting van MR-veiligheid labeling zijn alle fabrikanten voor zover bekend afgestapt van ferromagnetische materialen. Hierdoor zijn alleen langer geleden geplaatste clips (samengevat in tabel 1) van ferromagnetisch materiaal. In 1998 bleek bij een studie van Shellock dat ferromagnetische clips niet meer geleverd werden door de fabrikanten (Shellock, 1998b, 1998c; McFadden, 1999). Het is bijzonder onwaarschijnlijk dat fabrikanten nieuwe aneurysmaclips op de markt brengen die ferromagnetisch zijn, aangezien MRI-diagnostiek een rol speelt voor de neurochirurgen om deze patiëntengroep te vervolgen.
MRI-status classificatie
Voor 1994 was er nog geen consensus over het kwantificeren van ferromagnetische eigenschappen van implantanten (Kanal, 1996). Studies die ferromagnetische eigenschappen van implantanten beschreven dienen tot die tijd daarom met enige voorzichtigheid geïnterpreteerd te worden. In 1994 heeft de American Society for Testing and Material (ASTM) een standaard gepubliceerd met de eis dat de zogenaamde deflectiehoek moet worden gemeten om de magnetische eigenschappen van aneurysmaclips te evalueren (ASTM, 1994). Wanneer deze hoek kleiner is dan 45 graden geldt dat de zwaartekracht een grotere kracht uitoefent op de clip dan het magneetveld van de MRI-scanner. De ASTM adviseert hiermee alleen een test voor verplaatsing, maar geen test voor koppel (Kangarlu, 2000), deze test is later beschreven (ASTM, 2011). Als het type clip los beschikbaar is, is het mogelijk zelf deze test uit te voeren op basis van de ASTM F2052 richtlijn (ASTM, 2015).
Er is in de literatuur geen publicatie aanwezig waarmee onderbouwd kan worden dat er na een zekere datum geen MRI onveilige clips gemaakt zijn. Wel wordt door Shellock gesteld in 1998 dat er sinds die periode geen clips meer geproduceerd worden die een risico vormen voor de patiënt in de MRI-omgeving (Shellock, 1998b). Dit betekent echter niet dat eerder geproduceerde (mogelijk onveilige) clips niet op een latere datum alsnog geïmplanteerd zouden kunnen zijn.
De MRI-veiligheid van clips wordt bepaald door de fabrikant en met tests uitgevoerd bij één of meerdere veldsterktes. Hoewel de MR conditionele indicatie zoals bepaald is in een zeker magnetisch veld of scanner type niet automatisch ook geldt bij andere veldsterktes of scanners, heeft Shellock aangetoond dat de huidige clips waarvoor een MRI voorwaardelijk classificatie geldt bij 1,5 Tesla, geen excessief koppel of verplaatsing in een 3 Tesla scanner vertonen (Shellock, 2010).
2. Risico op opwarming van het implantaat door interactie met het RF-veld
Bezien vanuit de fysica mag verwacht worden dat het risico op verhitting van weefsel rond een cerebrale aneurysmaclip verwaarloosbaar is als gevolg van de korte (niet-resonante) lengte van de clips. De golflengte van RF golven bij de resonantiefrequentie in water in klinische scanners is aanzienlijk groter (Shellock, 2010). Een simulatiestudie van elektromagnetische velden en daardoor veroorzaakte lokale Specific Absortion Rates (SAR) bij een Yasargil aneurysmaclip laat zien dat bij 3 T de lokale 1-g SAR minder dan 10% verhoogd (Ibrahim, 2007).
Watanabe et al. heeft een temperatuurverschil van minder dan 1°C gemeten in clips van titanium en Elgiloy bij 3 T in de meest ongunstige positie; aan de zijkant van de tunnel (Watanabe, 2007). De data uit deze studie moet wel met enige zorg geïnterpreteerd worden, aangezien Watanabe spreekt over golflengtes van meters in lucht bij 3 T, terwijl de effectieve golflengte in vivo lager is, orde van 17 tot 90 cm bij 3 T afhankelijk van het type weefsel.
Typische opwarming zoals gerapporteerd door de fabrikant Aesculap in een Yagarsil-clip is 1.8°C in titanium en 2.5°C in Phynox-clips bij 3 T na 15 minuten scannen. Fabrikanten classificeren 154 van 349 type clips als MR voorwaardelijk, met een maximale ‘whole body’ SAR van 2 W/kg. Deze metingen zijn gebaseerd op de ASTM-standard F2182, en voor oudere implantaten op eerder versies van deze standaard (ASTM, 2020).
De fabrikanten melden echter de maximale temperatuursverhoging zoals gemeten in de fantoom opstelling in het gelfantoom, en niet de additionele temperatuursverhoging als gevolg van de clip alleen. Gezien de test condities waarbij de gel op zichzelf al opwarmt wordt hiermee de werkelijk temperatuursverhoging als gevolg van de clip sterk overschat. Daarnaast speelt in vivo mee dat er additionele koeling plaatsvindt door de bloedstroom in het vat waarvan het aneurysma is geclipt.
De werkgroep is van mening dat de werkelijk opwarming als gevolg van een cerebrale aneurysmaclips onder de 1°C is bij MR-systemen van 3 T en lager en dat daarmee er geen extra voorwaarden vereist zijn op SAR-niveau.
3. Risico op trilling of inductie van stromen door de oscillerende magnetische veldgradiënt
Oscillerende magnetische veldgradiënten, die worden toegepast voor spatiële codering, veroorzaken stromen, ‘eddy currents’, in een geleider. De grootte van deze stroom hangt of van de oppervlakte van deze kringstroom in het implantaat. Het risico op trilling of inductie van deze stromen in de aneurysmaclip is verwaarloosbaar vanwege de kleine oppervlakte van de clip, en door de hoge frequentie van de trillingen welke niet zouden leiden tot een effectieve torsie op het implantaat (Graf, 2006). Theoretisch zouden trillingen resulteren in een sensorisch effect. Echter we vonden geen indicaties hiervoor in de literatuur bij aneurysmaclips, noch in onze eigen klinische ervaring.
4. Artefact in het MRI-beeld
Ten gevolge van een lokale verstoring van het magneetveld zal de aanwezigheid van een aneurysmaclip leiden tot beeldartefacten. De grootte en vorm van deze artefacten is mede afhankelijk van de afmetingen, vorm, materiaalsoort en ruimtelijke oriëntatie van de clip, maar ook van de veldsterkte van de MRI-scanner en het type MRI-sequentie.
In verschillende publicaties wordt gerapporteerd over artefacten rond aneurysmaclips. Brothers concludeerde dat bij patiënten waarbij Sugita-clips (gemaakt van kobalt-chroomlegering) en Drake-tourniquets zijn gebruikt, de diagnostische informatie verkregen met MRI waardevoller blijkt te zijn dan die verkregen met CT bij dezelfde patiënten (Brothers, 1990). Artefacten in SE beeldvorming rond clips van titanium (0,4 tot 1,2 cm2) blijken ongeveer een derde van de grootte te hebben dan die veroorzaakt door ‘conventionele clips’ gemaakt van kobalt-chroomlegering (1,0 tot 3,6 cm2) (Lawton, 1996). Een studie waarin een titaniumclip werd vergeleken met clips gemaakt van Phynox, Elgiloy, MP35N, NiCoCrMo en CrNiMo toont artefacten grootte rond de titaniumclip die 2,5 tot 9 keer kleiner waren dan bij de andere materialen bij 1,5 T (respectievelijk, Gradiënt Echo 0,6 cm2 en Spin Echo 0,3 cm2 t.o.v. GE 3,9 cm2 en SE 2,4 cm2) (Shellock, 1998a, 1998c). Uit een casestudie van een patiënt die met een ferromagnetische aneurysmaclip een MRI-scan onderging, blijkt dat dergelijke clips dusdanige beeldartefacten veroorzaken dat de beelden van een groot deel van het brein vrijwel onbruikbaar te noemen zijn voor diagnostiek (Becker, 1988).
Metaalartefacten zijn niet te voorkomen, maar een aantal maatregelen kan genomen worden om de nadelige invloed van metaalartefacten te reduceren: de keuze voor lagere veldsterkte (1,5 T in plaats van 3 T), toepassen van spin-echo in plaats van gradiënt-echo techniek, verkorten van de echotijd, toepassing van technieken voor reductie van metaalartefacten, het omwisselen van frequentie- en fasecodering richting of kiezen voor een kleinere voxelgrootte of hogere bandbreedte van de readout (Jungmann ,2017; Olsrud, 2005). Bij 1,5 T zijn de artefacten kleiner dan bij 3 T. Voor een clip met lengte van 1,3 cm was het artefact bij 1,5 T bij een bandbreedte van 130 Hz/px en een echotijd van 13 ms 2,2-4 cm voor een Gradient Echo en 1,6-3 cm voor Spin Echo en bij 3 T respectievelijk 2,7-4,8 cm en 1,7-3,6 cm (Olsrud, 2005).
Wanneer het af te beelden gebied van interesse dicht bij de clip ligt of wanneer verwacht kan worden dat het artefact groot zal zijn dient overwogen te worden of beeldvorming met behulp van MRI voldoende diagnostische waarde heeft.
5. Risico van krachten door het Lenz-effect bij snelle beweging van geleidende implantaten in het statisch magnetisch veld van de MRI-scanner.
Door de grootte van het implantaat zijn de krachten door het Lenz-effect op de clip verwaarloosbaar bij huidige 1,5 en 3 T systemen (Mc Robbie, 2020; Graf, 2006).
6. Risico op verstoring van de werking van het implantaat.
Het enige risico op verstoring van de werking van de clip is door verplaatsing of rotatie, een risico dat hiervoor al is geadresseerd.
Tabel 6. Overzicht van risico’s van MRI bij een patiënt met een aneurysmaclip
|
Risico hoofdklasse |
Risico MRI* bij cerebrale aneurysmaclip |
|
Risico’s als gevolg van verplaatsing en rotatie |
bij een ferromagnetische clip: vaatschade met risico op fatale hersenbloeding bij een niet ferromagnetische clip: verwaarloosbaar |
|
Risico op opwarming van het implantaat door interactie met het RF-veld |
verwaarloosbaar |
|
Risico op trilling of inductie van stromen door de oscillerende magnetische veldgradiënt |
verwaarloosbaar |
|
Artefact in het MRI-beeld |
artefact rond de clip bij niet ferromagnetische clip en artefact in groot deel van de hersenen bij ferromagnetische clip. |
|
Risico van krachten door het Lenz-effect bij snelle beweging van geleidende implantaten in het statisch magnetisch veld van de MRI-scanner. |
verwaarloosbaar |
|
Risico op verstoring van de werking van het implantaat. |
n.v.t. |
*‘whole body’ MRI-scanner van 1,5 of 3T met horizontale/gesloten supergeleidende magneet
Overwegingen bij onbekend type clip
Wanneer het precieze type aneurysmaclip niet kan worden vastgesteld, kan meegewogen worden dat de kans om iemand in de algehele populatie aan te treffen met een ferromagnetische clip beperkt is. Uit een grote retrospectieve studie bleek dat 0,03% van de verwezen poliklinische patiënten een ferromagnetische clip droeg (Dewey, 2016). Dit is overigens niet gelijk aan de kans dat een onbekende clip ferromagnetisch is.
In het geval van een onbekend type aneurysmaclip kan een conservatief beleid gevoerd worden en uit voorzorg besloten worden om geen MRI-scan uit te voeren (Mamourian, 2007). Echter bij de keuze moet worden meegewogen dat het onthouden van diagnostiek middels MRI negatieve gevolgen kan hebben voor de patiënt, en moeten daarom beide aspecten tegen elkaar afgewogen worden (Kanal, 2013).
Op basis van de literatuur, voorgaande overwegingen en tabel 5 is de kans op complicaties bij gebruik van MRI in de aanwezigheid van intracraniële clips geschat als expert opinie zoals weergegeven in tabel 7, afhankelijk van het jaartal en ziekenhuis van implantatie van de clip. Voor patiënten bij wie een aneurysmaclip buiten Nederland is geplaatst, wordt bij implantatie in landen en ziekenhuizen met een gelijkwaardig of hogere niveau van gezondheidzorg dan in Nederland een gelijke risico inschatting gemaakt. Bij implantatie elders moet het risico hoger worden ingeschat.
Tabel 7. Waarschijnlijkheid van schade door een onbekend type cerebrale aneurysmaclip t.g.v. MRI-onderzoek; naar inschatting van de werkgroep
|
Ziekenhuisimplantatie |
Jaar van implantatie |
Waarschijnlijkheid van schade door onveilige aneurysmaclip in MRI*# |
|
Nederland** |
2000 en later |
Onwaarschijnlijk |
|
1990 - 1999 |
Ongewoon tot zeldzaam*** |
|
|
1989 en eerder |
Te verwachten |
|
|
Elders |
1995 en later |
Ongewoon |
|
1994 en eerder |
Te verwachten |
* Dit geldt alleen voor gesloten ‘whole body’ MRI-systemen van 1,5 en 3 T.
** Nederland of in een land/ziekenhuis met gelijkwaardig niveau van gezondheidszorg.
*** Dit op basis dat voordat alle clips niet-ferromagnetisch waren er sinds de jaren negentig het merendeel van de geproduceerde clips niet ferromagnetisch was, en dat een ferromagnetische clip niet altijd tot schade zal lijden.
# Bewoording zijn gebruikt voor waarschijnlijkheden om het geschatte karakter te benadrukken. In de algemene inleiding van de richtlijn, tabel 2, is een kwantitatief bereik gekoppeld aan deze bewoordingen.
Kwaliteit van bewijs
De kwaliteit van het bewijs kon niet worden achterhaald.
Waarden en voorkeuren van patiënten (en eventueel hun naasten/verzorgers)
Voor patiënten met een cerebrale aneurysmaclip is het van belang dat zorgvuldig en veilig gehandeld wordt. Deze module is erop gericht om zorgprofessionals te helpen om tot een juiste risicoschatting voor schadelijke effecten van een MRI-scan te komen als het type implantaat onbekend is. Deze risico-inventarisatie weegt mee in het komen tot een beslissing of een MRI-scan uitgevoerd kan worden. Indien het risico hoog wordt ingeschat zal er geen MRI plaatsvinden. Bij een intermediair risico is dit een samen beslissen met de patiënt. De zorgverlener kan toelichten hoe dit risico is ingeschat en meewegen in het komen tot een gezamenlijk beslissing. De benoemde factoren in deze module dragen bij aan het voeren van dit gesprek.
Kostenaspecten
Het uitvoeren van de benodigde risico-inventarisatie kost enige tijd van de behandelend arts, maar weegt op tegen de risico’s op ernstige gezondheidsschade voor de patiënt. Deze richtlijnmodule vereenvoudigd deze risicoschatting en is daarmee kostenbesparend.
Gezondheidsgelijkheid
De risico-inventarisatie wordt uitgevoerd door de zorgverlener als onderdeel van standaardzorg en leidt niet tot een verandering van gezondheidsgelijkheid.
Aanvaardbaarheid
Ethische aanvaardbaarheid
De risico-inventarisatie lijkt aanvaardbaar voor de betrokkenen. De werkgroep voorziet geen ethische bezwaren. Het is in het belang van zowel de zorgverlener als de patiënt dat zorgvuldig en veilig wordt gehandeld, de risico-inventarisatie draagt hieraan bij.
Duurzaamheid
Bij de risico-inventarisatie spelen duurzaamheidsaspecten geen rol. De benodigde acties om de risico-inventarisatie uit te voeren vragen geen middelen waar een duurzaamheidsaspect op speelt.
Haalbaarheid
De haalbaarheid van de beschreven risico interventie hangt af van een behandelend zorgverlener die de tijd neemt om uit te zoeken wat voor type implantaat iemand heeft en op basis van deze module de benodigde informatie achterhaald om een risicoschatting te maken. Deze risico-inventarisatie lijkt haalbaar, aangezien de eerder versie van deze richtlijn module al in de praktijk is geïmplementeerd. Bij implantaten wordt doorgaans al gekeken of deze compatibel zijn met een MRI-onderzoek, aangezien de risico’s bekend zijn. Deze module geeft extra handvatten om dit in de praktijk goed doordacht uit te voeren. Daarnaast is rekening gehouden met de mate van onzekerheid over en grootte van het risico op schade bij de aanbevelingen om gedetailleerdere informatie op te halen. Hierdoor is de inzet van tijd door de zorgverlener proportioneel voor het risico voor de patiënten waarbij het nodig is om meer informatie op te halen. Dit vergroot de haalbaarheid van het uitvoeren van de aanbevelingen.
Rationale van aanbeveling-1: weging van argumenten voor en tegen de interventies
In het verleden zijn ferromagnetische cerebrale aneurysmaclips geplaatst. Bij deze clips geeft MRI risico op vaatschade, met risico op fatale hersenbloeding. Vanaf 2000 worden in Nederland alleen maar niet ferromagnetische clips geplaatst waarbij er geen risico is bij MRI op 3T en lager door deze clip.
Een sterke aanbeveling voor het achterhalen van het type cerebrale aneurysmaclip en op basis van het jaartal en ziekenhuis van implantatie te besluiten of een MRI-onderzoek uitgevoerd kan worden. De risico’s voor ernstige schade voor de patiënt zijn evident ten op zichtte van de minimale inspanning die nodig is om de inschatting te kunnen maken of een MRI-onderzoek uitgevoerd kan worden.
Eindoordeel: Sterke aanbeveling voor (Doen)
Rationale van aanbeveling-2: weging van argumenten voor en tegen de interventies
Een sterke aanbeveling voor het achterhalen van meer informatie over eerder MRI-onderzoek wanneer het type cerebrale aneurysmaclip onbekend is en in overleg met de radioloog en patiënt tot een afweging tussen kans op letsel en het belang van diagnostiek te komen. De risico’s voor ernstige schade voor de patiënt zijn evident ten op zichtte van de inspanning die nodig is om de extra informatie te krijgen over eerder MRI-onderzoek wanneer het type cerebrale aneurysmaclip onbekend is. Daarbij wordt de patiënt betrokken in de afweging om de MRI-scan uit te voeren en samen met de behandelend artsen tot een beslissing te komen.
Eindoordeel: Sterke aanbeveling voor (Doen)
Rationale van aanbeveling-3: weging van argumenten voor en tegen de interventies
Indien bij een clip waarvan het type niet met zekerheid is vastgesteld, na een risico-baten afweging wordt besloten dat het MRI-onderzoek doorgang vindt, zijn er aanbevelingen voor dit onderzoek geformuleerd om het risico te minimaliseren.
Als eerste, scan bij 1,5 T met een ‘whole body’ MRI-scanner met horizontale/gesloten supergeleidende magneet. Bij 1,5 T kunnen de meeste klinische vraagstellingen basaal wel beantwoord worden. MRI-systemen met een open bore magneet moet worden vermeden om dat aldaar typisch sterkere aantrekkingskrachten optreden.
De aantrekkingskracht op een ferromagnetisch object is niet gelijk over de gehele MRI-tunnel. In het midden van de MRI-tunnel zijn deze krachten kleiner dan aan de rand van de opening. Daarom moet het hoofd van de patiënt zoveel mogelijk centraal in de opening van de scanner geplaatst worden, en niet bij de randen van de tunnel bij de opening van de scanner. De torsiekracht op het implantaat is daarentegen weer maximaal in het centrum van de MRI-tunnel.
Tevens is het spatiële strooiveld van het statisch magneetveld (B0) in eerste orde symmetrisch in de z-richting, behalve voor het teken van de Bz component. Daarom zal er bij patiënt positionering ‘feet first’ en ‘head first’ ter locatie van het hoofd van de patiënt een gelijke grootte zijn van de spatiële gradiënt van het B0 veld, en daarmee een gelijke grootte van de aantrekkingskracht op een ferromagnetisch object. Echter ‘head first’ positionering is minder wenselijk omdat daarbij het hoofd van de patiënt tweemaal een regio met maximale torsie passeert nabij centrum van de magneet, en een aantrekkingskracht ondervindt in twee tegengestelde richtingen aan beide kanten van het centrum van de magneet. Daarom moet de patiënt ‘feet first’ worden gepositioneerd, tenzij het een MRI-onderzoek van het hoofd betreft.
Eindoordeel: Sterke aanbeveling voor (Doen)
Onderbouwing
Achtergrond
Cerebrale aneurysmaclips zijn kleine, metallische klemmetjes die gebruikt worden om een intracranieel aneurysma of arterioveneuze malformatie te behandelen. Hoewel in Nederland heden ten dage veelal MR-voorwaardelijke of MR-veilige clips worden toegepast kon het tot laat in de vorige eeuw voorkomen dat ferromagnetische exemplaren werden gebruikt. Omdat deze behandeling wordt toepast bij patiënten in verschillende leeftijdsgroepen waaronder jongvolwassenen kunnen zich nog decennialang patiënten presenteren met een aneurysmaclip geïmplanteerd in een periode waarin ferromagnetische exemplaren gebruikt werden.
In geval van een bekend type cerebrale aneurysmaclip is het mogelijk om na te gaan of, en zo ja, onder welke randvoorwaarden de betreffende patiënt veilig een MRI-onderzoek kan ondergaan. In het verleden zijn echter bij patiënten ook clips geïmplanteerd die een absolute contra-indicatie vormen voor MRI, zodat voorzichtigheid is geboden wanneer het type clip onbekend is of niet met zekerheid valt vast te stellen welk type clip is geïmplanteerd. De praktijkervaring in Nederland is dat het type clip regelmatig niet is te achterhalen, zoals ook beschreven in de literatuur (Mammourian, 2007; Kanal, 2013). Op grond van gegevens die vaak nog wel zijn te achterhalen zoals ziekenhuis en jaartal van implantatie valt het risico veelal echter wel in te schatten. Een eenduidige richtlijn voorziet daarbij in de behoefte van MR veiligheidsdeskundigen om risico’s in te schatten en een lokaal protocol op te stellen.
Conclusies / Summary of Findings
Summary of findings
Zoekvraag 2a: Kans op negatieve uitkomst bij ferromagnetische clips.
Er is een kans dat een patiënt met een ferromagnetische aneurysmaclip het MRI-onderzoek zonder complicaties kan doorstaan, maar er is ook een kans dat het onderzoek fataal blijkt. Het inschatten van het individuele risico voor de patiënt is gecompliceerd en zal onder andere sterk afhangen van de conditie van de vaatwand waarop de aneurysmaclip is geplaatst.
Bronnen (Klucznik, 1993; Becker, 1988; Johnson, 1993; New, 1983)
Non-ferromagnetische clips lijken veilig te zijn in de MRI-omgeving in termen van negatieve uitkomsten als gevolg van aantrekkingskracht of koppel. Er wordt geen noemenswaardige opwarming van aneurysmaclips verwacht als gevolg van de blootstelling aan RF tijdens het MRI-onderzoek.
Bronnen (Shellock, 1998b; Lauer, 2005; Ooka, 1996; Shellock, 1996; Watanabe, 2007)
Zoekvraag 2b: Periode van implantatie contra-geïndiceerde clips in Nederland
Op basis van vooral Amerikaanse studies wordt de indruk gewekt dat de kans op aanwezigheid van ferromagnetische cerebrale clips zeer groot is bij implantatie vóór midden jaren ’80 en gering na midden jaren ’90. Daarbij dient in acht genomen te worden dat beëindiging van de productie van ferromagnetische clips midden jaren ’90 niet betekent dat deze clips per direct niet meer geïmplanteerd werden. Dit beeld is bevestigd voor Nederland.
Bronnen (Johnson, 1993; Kanal, 1996; Shellock, 1998c; Hofman, 2024)
Samenvatting literatuur
Beschrijving studies
Van de 21 geëvalueerde studies uit 2016 is het merendeel (13) experimenteel, waarin men magnetische eigenschappen van clips beschrijft, al dan niet in kwantitatieve zin, of waarin men keek naar opwarming van clips als gevolg van blootstelling aan radiofrequente (RF) elektromagnetische velden, of waarin men artefacten als gevolg van de aanwezigheid van clips beschreef. Daarnaast zijn er een tweetal casestudies beschreven van MRI-scans bij patiënten met een ferromagnetische aneurysmaclip, een studie naar de incidentie van implantaten die een absolute contra-indicatie vormen voor MRI, en een retrospectieve patiëntenstudie waarin men MRI-artefacten als gevolg van de aanwezigheid van clips bestudeerde. Tot slot zijn er een viertal ingezonden brieven gevonden met een waarschuwing voor ferromagnetische clips, een stevige kritiek op een artikel waarin men magnetische eigenschappen van aneurysmaclips beschrijft, een appèl voor het belang om exact vast te stellen met welke aneurysmaclip men te maken heeft voor een MRI-onderzoek, en een oproep om een datum vast te stellen waarna men er veilig vanuit kan gaan dat enkel nog niet-ferromagnetische clips zijn geïmplanteerd.
De drie studies uit 2024 zijn een narratieve review (Hofman, 2024) en twee experimentele studies (Ibrahim, 2007; Tang 2020).
De review van Hofman 2024 is gebaseerd op de 2019 versie van deze module. Voor deze publicatie werd de incident database search uitgebreid, zoals nu ook is aangepast voor deze module. Daarnaast werden er in het review proces aanscherpingen gemaakt in de overwegingen en aanbevelingen, die nu hier worden doorgevoerd.
Ibrahim (2007) onderzoekt de opwarming van een Yasargil aneurysma clip bij MRI met een veldsterkte van 3 en 7 T, met behulp van simulatie van elektromagnetische velden om de lokale specifieke absorptiepercentages (SAR) te berekenen. In de buurt van de aneurysma clips kan de lokale SAR hoger zijn, vooral bij 7T, maar deze verhoging heeft beperkt effect op de lokale SAR-beperkingen die door de FDA en IEC zijn vastgesteld (1 g en 10 g SAR). De opwarming in het weefsel is zeer gelokaliseerd en de rest van de hersenen worden niet significant beïnvloed door het implantaat. De oriëntatie en plaatsing van de clip kunnen wel de nabijgelegen SAR-waarden veranderen, maar dit heeft weinig invloed op de totale SAR-waarden in het hoofd. De impact van de aneurysma clip op de 1 g SAR blijft bij 3 T beperkt tot een verhoging van 10% bij een ‘worst-case’ positionering in het hoofd, op een locatie met al een piek SAR waarde.
Tang (2020) ontwikkelde een nauwkeurige methode om de torsie van aneurysma clips gemaakt van Elgiloy en titaniumlegeringen te meten in een MRI-scanner. De maximale torsie voor titanium-legeringen is aanzienlijk hoger dan voor Elgiloy, ondanks de lagere magnetische susceptibiliteit van titanium. Dit werd verklaard door de vorm anisotropie van het kristal in titanium.
Resultaten
Zoekvraag 2a: Wat is de kans op negatieve uitkomsten (interactie clip vs. MRI of effecten op patiënt) bij patiënten met cerebrale aneurysmaclips die MRI-onderzoek ondergaan?
In de literatuur zijn twee artikelen geïdentificeerd waarin een MRI-onderzoek staat beschreven van een patiënt met een ferromagnetische aneurysmaclip in situ. In één geval (Vari-angle clip, gemaakt uit martensitisch roestvaststaal RVS 17-7 PH) leidde dat onderzoek op een 1,5 T MRI-scanner tot het overlijden van de patiënt, waarschijnlijk als gevolg van een scheuring in de arteriële wand veroorzaakt door aantrekking door de magneet en/of het op de clip uitgeoefende koppel (Klucznik, 1993). Deze casus heeft geleid tot een waarschuwing door de FDA over het gevaar van ferromagnetische aneurysmaclips in de MRI-omgeving (Johnson, 1993). In het andere geval (Heifetz clip, gemaakt uit martensitisch RVS 17-7 PH) wordt beschreven dat de patiënt het onderzoek zonder complicaties heeft doorstaan (Becker, 1988), weliswaar op een veldsterkte van lager dan 1,5 T; waardoor er sprake is van een lagere aantrekkingskracht en draaimoment dan bij 1,5 T.
Er valt op grond van deze twee observaties weinig te concluderen over de kans op een fatale uitkomst van het MRI-onderzoek als gevolg van de aanwezigheid van een aneurysmaclip. Wel blijkt hieruit dat het hebben van een ferromagnetische aneurysmaclip niet per definitie hoeft te betekenen dat het ondergaan van een MRI-onderzoek fataal zal zijn. Het individuele risico voor een patiënt met een ferromagnetische clip is echter bijzonder lastig in te schatten (New, 1983), onder andere omdat het mede afhankelijk is van een aantal onbekende factoren zoals de geometrie van de clip, de oriëntatie van de clip in het magneetveld en patiënt specifieke eigenschappen zoals de toestand van de vaatwand.
Uit het gegeven dat er slechts één casestudie van een fataal incident met een ferromagnetische aneurysmaclip is gevonden mag niet geconcludeerd worden dat veiligheidsrisico’s beperkt zijn. Een veel plausibelere verklaring voor dit lage aantal is het wereldwijd bestaan van programma’s om patiënten te screenen op contra-indicaties voor MRI (Mamourian, 2012).
Naast clips gemaakt van ferromagnetische RVS-soorten waaronder 17-7PH, 405SS, 404SS, 301SS, 304SS (allen met een Fe hoeveelheid > 50%) bestaan er ook niet-ferromagnetische clips gemaakt uit legeringen zoals MP35N (voornamelijk molybdeen, kobalt, chroom, nikkel en ≤ 1% Fe), Elgiloy of het vergelijkbare Phynox (voornamelijk molybdeen, kobalt, chroom, nikkel en 10 tot 15% Fe), of titanium of titaniumlegeringen. In een publicatie [McFadden, 1999] wordt expliciet gesteld dat legeringen met minder dan 50% Fe op geen enkele wijze ferromagnetisch kunnen worden. Dit lijkt bevestigd te worden in artikelen waarin geen interactie van clips met het magnetisch veld wordt gevonden (Shellock, 1998b), ook niet na langdurige (48 uur) of herhaalde (50x) blootstelling van clips aan het magnetisch veld van 1,5 T (Kanal, 1999). Concluderen dat clips vervaardigd uit bovengenoemde materialen inert zijn voor blootstelling aan het magnetisch veld van een MRI-scanner lijkt echter voorbarig.
In de literatuur wordt namelijk ook melding gemaakt van aantrekkingskracht op en rotatie van clips vervaardigd uit Phynox, Elgiloy of Titanium (Kanal, 1996; Sommer, 2004; Kakizawa, 2010). Hierbij melden auteurs ‘zorg vanwege de variatie in ferromagnetisch gedrag’ bij clips van dezelfde fabrikant en van hetzelfde materiaal (Kanal, 1996) en inconsistenties in uitlijning met het magnetisch veld voor clips van verschillende materialen (Kakizawa, 2010). Op grond van hun bevindingen adviseren de auteurs voor toepassing in de kliniek ‘deze clips kunnen als veilig op 3 T geclassificeerd worden (Sommer, 2004), ‘alhoewel alle clips voldoen aan de ASTM eisen zijn titanium (-legering) clips te prefereren op 3 T’ (Kakizawa, 2010) en ‘de gevonden variabiliteit in ferromagnetische respons is potentieel problematisch en patiënten met een clip moeten niet zomaar toegelaten worden tot MRI tenzij de clip vóór implantatie, on site, is getest op ferromagnetisch gedrag’ (Shellock, 1998b).
In een artikel werd opgemerkt dat er geen case reports zijn waaruit incidenten blijken met patiënten met niet-ferromagnetische clips (Shellock, 1998b, 1998c). Ook bij de hier uitgevoerde literatuursearch zijn dergelijke case reports niet geïdentificeerd.
In de geselecteerde literatuur is geen bewijs gevonden dat aneurysmaclips, vervaardigd van welk materiaal dan ook, noemenswaardig opwarmen als gevolg van blootstelling aan RF tijdens het maken van MRI-scans op 1,5 en 3 T (Lauer, 2005; Ooka, 1996; Watanabe, 2007).
In de geselecteerde literatuur is geen bewijs gevonden dat als gevolg van oscillerende gradiënten in MRI een noemenswaardige trilling van aneurysmaclips kan ontstaan.
Zoekvraag 2b: In welke periode zijn cerebrale aneurysmaclips met een absolute contra-indicatie voor MRI geïmplanteerd in de Nederlandse patiëntenpopulatie?
In de geselecteerde literatuur is bij het schrijven van de eerste versie van deze richtlijn geen informatie beschikbaar om deze vraag te beantwoorden.
Enige relevante cijfers zijn gevonden in (Dewey, 2007). Uit deze Duitse studie bleek dat in de periode november 1997 tot december 2005 uit een groep van 51.547 opeenvolgende patiënten, 0,41% van de verwezen poliklinische patiënten een absolute contra-indicatie (niet alleen clips) hadden voor MRI. Meer specifiek, men vond in de database 13 ferromagnetische aneurysmaclips, ofwel bij 0,03% van de patiënten.
Op hoofdlijnen kan verder nog het volgende opgemerkt worden. Clips geproduceerd tot “midden jaren ‘80” zijn in het bijzonder verdacht aangezien tot die tijd MRI-compatibiliteit geen design criterium was (Johnson, 1993). Belangrijk is dat in het verleden leveranciers de materiaalsamenstelling van clips veranderden, zodanig dat latere exemplaren van niet- ferromagnetisch materiaal waren maar eerdere exemplaren van ferromagnetisch RVS (Kanal, 1996). In mei 1994 heeft de FDA een brief verstuurd aan alle makers van clips met het verzoek om alle informatie over clips en testen te overleggen en, zo niet, het product duidelijk te labelen als zijnde niet getest voor compatibiliteit met MR-scanners (Kanal, 1996). Shellock stelde in 1998 dat clips die toen gemaakt werden vrijwel zonder uitzondering geen enkel risico meer vormden voor de patiënt wanneer blootgesteld aan de MRI-omgeving (Shellock, 1998b, 1998c). Hierbij dient opgemerkt te worden dat ten tijde van die publicatie MRI-scanners met een veldsterkte van 3 Tesla nog als uitzondering golden.
Voor het opstellen van de eerste versie van deze richtlijn is een enquête uitgevoerd onder Nederlandse Ziekenhuizen waar cerebrale aneurysmaclips zijn geïmplanteerd, dit geeft een goed beeld van de situatie in Nederland (tabel 4; Hofman, 2024).
Zoeken en selecteren
Het antwoord op uitgangsvraag 1 is helder, aangezien goed bekend is welke type clips wel of niet ferromagnetisch zijn. In de overwegingen is dit verder uitgewerkt, maar hier is geen literatuur search voor uitgevoerd.
Om uitgangsvraag 2 te kunnen beantwoorden is er een literatuuranalyse verricht gericht op de volgende zoekvragen:
- Wat is de kans op negatieve uitkomsten (interactie clip versus MRI of effecten op patiënt) bij patiënten met cerebrale aneurysmaclips die MRI-onderzoek ondergaan? Bij uitwerking wordt onderscheid gemaakt in type clip, materiaal van de clip, type MRI-onderzoek, scanner en veldsterkte.
- In welke periode zijn cerebrale aneurysmaclips met een absolute contra-indicatie voor MRI geïmplanteerd in de Nederlandse patiëntenpopulatie?
In 2024 is een systematische review van de literatuur sinds 2016 uitgevoerd om vraag 2a te beantwoorden.
Tabel 1. PICO
| Patiënten | Patiënten met een cerebrale aneurysmaclip |
| Interventie | MRI-onderzoek |
| Vergelijking (Comparison) | Geen MRI-onderzoek of MRI-onderzoek met aanpassingen |
| Uitkomst (Outcomes) |
Negatieve uitkomst: a. mogelijke schadelijke interactie tussen de cerebrale aneurysmaclip en de magnetische en RF-velden die gegenereerd worden door de MRI-scanner b. schadelijk effecten voor de patiënt als gevolg van de interactie beschreven in (a) |
| Andere selectiecriteria | Studie ontwerp: systematische reviews, gerandomiseerde gecontroleerde trials en observationeel onderzoek waarin MRI-onderzoek vergeleken wordt met geen MRI-onderzoek of MR onderzoek met aanpassingen bij patiënten met een cerebrale aneurysma clip |
Relevante uitkomstmaten
De richtlijn werkgroep beschouwt negatieve effecten als een kritische uitkomst maat voor besluitvorming.
A priori, heeft de richtlijn werkgroep geen uitkomstmaten gedefinieerd, maar heeft de definities gebruikt uit de studies.
Zoeken en selecteren (Methode)
In de databases Pubmed en ScienceDirect is op 22 november 2016 met relevante vrij generieke zoektermen gezocht. De zoekverantwoording voor de incidentendatabases is bijgevoegd als bijlage 1. Studies werden geselecteerd op grond van het volgende selectiecriterium: relevant voor de zoekvragen. Op basis van titel en abstract werden in eerste instantie 63 studies voorgeselecteerd. Na raadpleging van de volledige tekst, werden vervolgens 44 studies geëxcludeerd (zie exclusietabel onder het tabblad Verantwoording), en 19 studies definitief geselecteerd. Bij het bestuderen van deze studies werden in de referentielijsten twee aanvullende studies geïdentificeerd met beschrijving van een casus van een patiënt met een ferromagnetische aneurysmaclip die zonder complicaties een MRI-onderzoek had ondergaan, en één met een fatale afloop. Deze studies werden daarom alsnog opgenomen, zodat het totaal op 21 geïncludeerde studies kwam. Op basis van deze studies is onderstaande samenvatting van de literatuur opgesteld. Tevens zijn deze studies waar relevant gebruikt als onderbouwing voor de overwegingen.
In 2024 is voor vraag 2a een systematische literatuur zoekopdracht uitgevoerd door de medische informatiespecialist gebruikmakend van de volgende bibliografische databases: Embase.com en Ovid/Medline. Beide databases zijn bekeken in de periode van 2016 tot 18 december 2024 voor systematische reviews, RCT’s en observationele studies. De systematische zoekopdracht is uitgevoerd met een combinatie van een gecontroleerde woordenlijst/onderwerpen (bijv. Emtree-terms, MeSH) wanneer deze beschikbaar waren, en met trefwoorden in gewone taal. De algemene zoek strategie was gestoeld op drie zoekconcepten: (1) cerebrale aneurysmaclip; (2) MRI-onderzoek; (3) veiligheid. Duplicaten werden verwijderd met behulp van EndNote software. In totaal werden 213 artikelen geïmporteerd voor screening van titel en abstract. Initieel zijn 18 artikelen geselecteerd op basis van de screening van de titel en het abstract. Na het lezen van de volledige tekst zijn alle studies geëxcludeerd voor de systematische literatuuranalyse op basis van de PICO (zie de exclusietabel onder het tabblad ‘Evidence tabellen’).
Vanuit de gescreende abstracts en artikelen zijn drie studies geïdentificeerd die relevant zijn voor deze module en omschreven in de literatuursamenvatting (Hofman 2024, Ibrahim 2007 en Tang 2020). Daarnaast werden op basis van artikel referenties nog zes extra artikels geïncludeerd. Hiermee werden negen studies geïdentificieerd die zijn verwerkt in de overwegingen van deze richtlijn (ASTM, 2020; Shellock, 1998a; McRobbie, 2020; Graf, 2006; Jungmann, 2017; Olsrud, 2005).
Methode
Gezien het type literatuur dat werd gevonden is door de werkgroep geoordeeld dat een systematische literatuur analyse volgens de GRADE-systematiek (Guyatta, 2011) geen toegevoegde waarde heeft.
Referenties
- ASTM, American Society for Testing and Materials. Standard specification for the requirements and disclosure of self-closing aneurysm clips. In: Annual book of ASTM standards, 1994.
- ASTM F2052-15, Standard Test Method for Measurement of Magnetically Induced Displacement Force on Medical Devices in the Magnetic Resonance Environment, ASTM International, West Conshohocken, PA, 2015, www.astm.org.
- ASTM F2213-06, Standard Test Method for Measurement of Magnetically Induced Torque on Medical Devices in the Magnetic Resonance Environment, ASTM International, West Conshohocken, PA, 2011, www.astm.org.
- ASTM F2182-19e2, Standard test method for measurement of radio frequency induced heating on or near passive implants during magnetic resonance imaging. ASTM International, West Conshohocken, PA; 2020. www.astm.org.
- Burtscher IM, Owman T, Romner B, Ståhlberg F, Holtås S. Aneurysm clip MR artifacts. Titanium versus stainless steel and influence of imaging parameters. Acta Radiol. 1998;39:70-6. doi: 10.1080/02841859809172153. PMID: 9498874.
- Becker RL, Norfray JF, Teitelbaum GP, Bradley WG Jr, Jacobs JB, Wacaser L, Rieman RL. MR imaging in patients with intracranial aneurysm clips. AJNR Am J Neuroradiol. 1988;9:885-9. PMID: 3140632; PMCID: PMC8367675.
- Brothers MF, Fox AJ, Lee DH, Pelz DM, Deveikis JP. MR imaging after surgery for vertebrobasilar aneurysm. AJNR Am J Neuroradiol. 1990;11:149-61. PMID: 2105598; PMCID: PMC8332486.
- Dewey M, Schink T, Dewey CF. Frequency of referral of patients with safety-related contraindications to magnetic resonance imaging. Eur J Radiol. 2007;63:124-7. doi: 10.1016/j.ejrad.2007.01.025. PMID: 17383136.
- Dujovny M, Agner C, Ibe O, Perlin A. Self-closing aneurysm clip: a historical review. Neurol Res. 2010;32:1011-20. doi: 10.1179/016164110X12807570509817PMID: 20810029.
- Dula AN, Virostko J, Shellock FG. Assessment of MRI issues at 7 T for 28 implants and other objects. AJR Am J Roentgenol. 2014;202:401-5. doi: 10.2214/AJR.13.10777. PMID: 24450683.
- Graf H, Lauer UA, Schick F. Eddy-Current Induction in Extended Metallic Parts As a Source of Considerable Torsional Moment. J. Magn. Reson Imaging 2006;23:585-590.
- Hofman MBM, Lavini C, van der Zwan A, van Pul C, Muller SH, Stam MK, van der Graaf M, Kloeze C, van Nierop BJ, Kappert P, Kuijer JPA. MRI in patients with a cerebral aneurysm clip; review of the literature and incident databases and recommendations for the Netherlands. Phys Med. 2024;117:103187. doi: 10.1016/j.ejmp.2023.103187. PMID: 38016215.
- Ibrahim TS, Tang L, Kangarlu A, Abraham R. Electromagnetic and Modeling Analyses of an Implanted Device at 3 and 7 Tesla. J Magn Reason Imaging. 2007;26:1362-7. Doi: 10.1002/jmri.21148.
- Johnson GC. Need for caution during MR imaging of patients with aneurysm clips. Radiology. 1993;188:287-8. doi: 10.1148/radiology.188.1.8511314. PMID: 8511314.
- Jungmann PM, Agten CA, Pfirrmann CW, Sutter R. Advances in MRI Around Metal. J. Magn Reson Imaging 2017;46:972–991.
- Expert Panel on MR Safety; Kanal E, Barkovich AJ, Bell C, Borgstede JP, Bradley WG Jr, Froelich JW, Gimbel JR, Gosbee JW, Kuhni-Kaminski E, Larson PA, Lester JW Jr, Nyenhuis J, Schaefer DJ, Sebek EA, Weinreb J, Wilkoff BL, Woods TO, Lucey L, Hernandez D. ACR guidance document on MR safe practices: 2013. J Magn Reson Imaging. 2013;37:501-30. doi: 10.1002/jmri.24011. PMID: 23345200.
- Kanal E, Shellock FG. Aneurysm clips: effects of long-term and multiple exposures to a 1.5-T MR system. Radiology. 1999;210:563-5. doi: 10.1148/radiology.210.2.r99fe59563. PMID: 10207445.
- Kangarlu A, Shellock FG. Aneurysm clips: evaluation of magnetic field interactions with an 8.0 T MR system. J Magn Reson Imaging. 2000;12:107-11. doi: 10.1002/1522-2586(200007)12:1<107::aid-jmri12>3.0.co;2-5. PMID: 10931570.
- Klucznik RP, Carrier DA, Pyka R, Haid RW. Placement of a ferromagnetic intracerebral aneurysm clip in a magnetic field with a fatal outcome. Radiology. 1993;187:855-6. doi: 10.1148/radiology.187.3.8497645. PMID: 8497645.
- Kossowsky R, Kossovsky N, Duyivnj M. In vitro studies of aneurysm clip materials. Book chapter in Corrosion and degradation of implant materials, ASTM 1983.
- Lauer UA, Graf H, Berger A, Claussen CD, Schick F. Radio frequency versus susceptibility effects of small conductive implants--a systematic MRI study on aneurysm clips at 1.5 and 3 T. Magn Reson Imaging. 2005;23:563-9. doi: 10.1016/j.mri.2005.02.012. PMID: 15919602.
- Lawton MT, Ho JC, Bichard WD, Coons SW, Zabramski JM, Spetzler RF. Titanium aneurysm clips: Part I--Mechanical, radiological, and biocompatibility testing. Neurosurgery. 1996;38:1158-63; discussion 1164. doi: 10.1097/00006123-199606000-00022. PMID: 8727147.
- Mamourian A, Bird R, Schaefer PW, Atlas SW, Dillon WP, Provenzale JM, Truwit CL, Chakeres DW. Aneurysm clip. J Neurosurg. 2007;107:1278-9. doi: 10.3171/JNS-07/12/1278. PMID: 18080362.
- McFadden JT. Magnetic resonance imaging and aneurysm clips. J Neurosurg. 2012;117:1-11. doi: 10.3171/2012.1.JNS111786. PMID: 22503120.
- McRobbie DW. Essentials of MRI safety. 1tg ed. Wiley Blackwell, Oxford. 2020.
- Meurer WJ, Barth BE, Gaddis G, Vilke GM, Lam SH. Rapid Systematic Review: Intra-Arterial Thrombectomy ("Clot Retrieval") for Selected Patients with Acute Ischemic Stroke. J Emerg Med. 2017;52:255-261. doi: 10.1016/j.jemermed.2016.10.004. PMID: 27863833.
- Olsrud J, Lätt J, Brockstedt, Romner B, Björkman-Burtscher IM. Magnetic resonance imaging artifacts caused by aneurysm clips and shunt valves: dependence on field strength (1.5 and 3 T) and imaging parameters. J Magn Reson Imaging 2005;22:433-7. doi: 10.1002/jmri.20391.
- Shellock FG, Shellock VJ. Spetzler titanium aneurysm clips: compatibility at MR imaging. Radiology 1998a;206:838-841.
- Shellock FG, Kanal E. Yasargil aneurysm clips: evaluation of interactions with a 1.5-T MR system. Radiology. 1998b;207:587-91. doi: 10.1148/radiology.207.3.9609877. PMID: 9609877.
- Shellock FG, Kanal E. Aneurysm clips: evaluation of MR imaging artifacts at 1.5 T. Radiology. 1998c;209:563-6. doi: 10.1148/radiology.209.2.9807590. PMID: 9807590.
- Shellock FG. Biomedical implants and devices: assessment of magnetic field interactions with a 3.0-Tesla MR system. J Magn Reson Imaging. 2002;16:721-32. doi: 10.1002/jmri.10207. PMID: 12451586.
- Shellock FG, Tkach JA, Ruggieri PM, Masaryk TJ, Rasmussen PA. Aneurysm clips: evaluation of magnetic field interactions and translational attraction by use of "long-bore" and "short-bore" 3.0-T MR imaging systems. AJNR Am J Neuroradiol. 2003;24:463-71. PMID: 12637298; PMCID: PMC7973592.
- Shellock FG, Valencerina S. In vitro evaluation of MR imaging issues at 3 T for aneurysm clips made from MP35N: Findings and information applied to 155 additional aneurysm clips. AJNR Am J Neuroradiol. 2010;31:615-9. doi: 10.3174/ajnr.A1918. PMID: 20037131; PMCID: PMC7964220.
- Schöller K, Morhard D, Zausinger S, Steiger HJ, Schmid-Elsaesser R. Introducing a freely accessible internet database for identification of cerebral aneurysm clips to determine magnetic resonance imaging compatibility. Neurosurgery. 2005;56:118-23; discussion 123. doi: 10.1227/01.neu.0000144845.76471.17. PMID: 15617593.
- Tang M, Kawahira S, Nomura N, Yamamoto T. Torque property of titanium alloy cerebral aneurysm clips in a magnetic resonance scanner. J Material Sci: Material in Med. 2020;31:1, doi: 10.1007/s10856-019-6329-4.
- Watanabe A, Seguchi T, Koyama J, Aoyama T, Miyahara T, Kakizawa Y, Hongo K. Investigation of radiofrequency-induced temperature elevation of aneurysm clips in a 3.0-tesla magnetic resonance environment. Neurosurgery. 2007;61:1062-5; discussion 1065-6. doi: 10.1227/01.neu.0000303202.69747.d2. PMID: 18091282.
Evidence tabellen
Risk of bias tables
Niet van toepassing.
Tabel van geëxcludeerde studies in 2024
|
Reference |
Exclusie reden |
|
Barnsley 2024 |
Enkel over screening om clips te vinden m.b.v. lage dosis CT |
|
Courtman 2024 |
Enkel over screening om clips te vinden op CT beelden |
|
De Silva 2016 |
Alleen correctie van auteurs |
|
Hofman 2024 |
Narratieve review |
|
Jin Han 2024 |
Niet over MRI veiligheid |
|
Kim K 2023 |
Niet over MRI veiligheid |
|
Noureddine 2018 |
Dit artikel gaat over 7T MRI |
|
Noureddine 2019 |
Dit artikel gaat over 7T MRI |
|
Panych 2020 |
Niet over cerebrale aneurysmaclips |
|
Phalke 2020 |
Niet over cerebrale aneurysmaclips |
|
Shaffer 2023 |
Dit artikel gaat over 7T MRI |
|
Tsutsui 2022 |
Dit artikel gaat over 7T MRI |
|
Uchikawa 2021 |
Niet over MRI veiligheid |
|
Van Speybroeck 2021 |
Niet over cerebrale aneurysmaclips |
|
Wei 2018 |
Niet over MRI veiligheid |
|
Zhu 2024 |
Geen tekst over MRI beleid van cerebrale aneurysmaclip |
Tabel van geëxcludeerde studies in 2016
|
Reference |
Exclusie reden |
|
Chandela 2011 |
Dit artikel gaat niet over MRI veiligheid bij clips. |
|
Chen 2011 |
Dit artikel gaat niet over MRI veiligheid bij clips. |
|
Dujovny 1996 |
Uitkomsten van specifieke tests van clips, die geen aanvullende informatie oplevert voor zoekvragen. |
|
Dujovny 1997 |
Commentaar op een ander artikel (Kanal 1996). Bevat geen informatie over clips. |
|
Ferris 2007 |
In deze studie inventariseerde men de wijze waarop in Australia screening op een aantal MRI contra-indicaties plaatsvindt. Bevat geen informatie relevant voor de zoekvragen. |
|
Fleckenstein 1997 |
Commentaar op een ander artikel (Kanal 1996). Bevat geen informatie over clips. |
|
Friedrich 2016 |
Studie naar het reduceren van MRI-artefacten (door keuzes bij MRI-sequentie), waarin alleen vermeld staat dat men enkel patiënten includeerde met MRI veilige clips. Derhalve niet relevant voor de zoekvragen. |
|
Gold 1989 |
Dit paper gaat over chirurgische clips anders dan aneurysmaclips. |
|
Gonner 2002 |
Dit paper behandelt de grootte van beeldartefacten van clips die MR veilig zijn. Derhalve niet relevant voor de zoekvragen. |
|
Graf 2005 |
Dit paper behandelt beeldartefacten van allerlei implantaten waaronder clips. Niet relevant voor de zoekvragen. |
|
Grieve 1999 |
Dit paper behandelt beeldartefacten van clips die MR veilig zijn. Derhalve niet relevant voor de zoekvragen. |
|
Henrichs 2011 |
Dit paper behandelt voorzorgsmaatregelen voor intra-operatieve MRI-scans tijdens de resectie van hersentumoren. |
|
Ho 1999 |
In dit paper karakteriseert men een paramagnetische legering (Elgiloy). Niet relevant voor de zoekvragen. |
|
Joint 2008 |
Algemene beschrijving over hoe te komen tot een veilige omgeving rond de MRI-scanner, zonder specifieke aanknopingspunten m.b.t. de zoekvragen. |
|
Kato 1996 |
Uitkomsten van specifieke tests van clips, niet conform ASTM-standaard uitgevoerd en zonder relevante, aanvullende inzichten m.b.t. de zoekvragen. |
|
Kean 1985 |
In dit paper rapporteert men een beknopte test waarin werd vastgesteld dat acht typen aneurysmaclips ferro-magnetisch zijn. Deze informatie is niet nieuw en biedt geen nieuwe inzichten bij de zoekvragen. |
|
Krayenbuhl 2011 |
In deze studie wordt de somatosensory evoked potential (SEP) vergeleken met post-operatieve ischemie vastgesteld met DWI MRI metingen. Geen relevante informatie voor de zoekvragen. |
|
Laakman 1985 |
Dit paper behandelt beeldartefacten van allerlei implantaten op 0,3 T waarbij aneurysmaclips werden vermeden. Derhalve niet relevant voor de zoekvragen. |
|
Lawton 1996 |
In deze studie heeft men gekeken naar mechanische eigenschappen, biocompatibiliteit en MRI-artefacten van titanium aneurysmaclips, waaruit men concludeert dat patiënten met een titanium clip veilig in een MRI-scanner kunnen. De studie biedt geen inzichten met betrekking tot de zoekvragen. |
|
Marinho 2014 |
Dit artikel gaat niet over MRI. |
|
Macfarlane 2008 |
In deze studie wordt enkel een lokaal initiatief beschreven voor het aanleggen van een database met informatie over MRI-compatibiliteit van implantaten. |
|
Nagatani 1998 |
Dit artikel behandelt de mechanische eigenschappen van titanium clips en beeldartefacten. Geen relevante informatie voor zoekvragen. |
|
Ont Health Technol Assess Ser 2006 |
Deze studie focust op de veiligheid van een embolisatieprocedure en biedt geen aanknopingspunten m.b.t. de zoekvragen. |
|
Piepgras 1995 |
Dit paper biedt een beschrijving van de eerste klinische ervaringen bij het gebruik van titanium clips en biedt geen aanknopingspunten m.b.t. de zoekvragen. |
|
Pirasteh 2016 |
Deze studie beschrijft een manier van online screening van patiënten op contra-indicaties voor MRI, maar biedt geen informatie over veiligheid en aneurysmaclips. |
|
Pride 2000 |
In dit paper concludeert men op grond van een follow-up van 46 patiënten dat MRI veilig uitgevoerd kan worden bij patiënten met niet-ferromagnetische aneurysmaclips. Derhalve geen inzichten m.b.t. de zoekvragen. |
|
Romner 1989 |
Studie bij 0.3 T waarin men concludeert dat niet-ferromagnetische aneurysmaclips veilig zijn bij de geteste veldsterkte en verder dat ferromagnetische clips resulteren in niet bruikbare MRI-beelden, zonder dat verder nog aandacht wordt besteed aan de veiligheid van het scannen van die clips. Derhalve geen inzichten m.b.t. de zoekvragen. |
|
Shellock 1993 |
Dit paper biedt geen informatie relevant voor de zoekvragen, anders dan dat het stelt dat voorzichtigheid geboden is wanneer het type implantaat niet bekend is. |
|
Shellock 1988 |
Dit paper geeft een overzicht van geteste implantanten waarvan de resultaten gezien de auteur verwerkt zullen zijn op MRIsafety.com, zodanig dat er geen nieuwe inzichten zijn voor wat betreft de zoekvragen. |
|
Shellock 1988 |
Dit paper (eveneens uit 1988) geeft een overzicht van 36 geteste geteste implantanten waarvan de resultaten gezien de auteur verwerkt zullen zijn op MRIsafety.com, zodanig dat er geen nieuwe inzichten zijn voor wat betreft de zoekvragen. |
|
Shellock 1991 |
Breed review paper over veiligheid van implantaten bij het doen van MRI onderzoeken zonder nieuwe informatie relevant voor de zoekvragen. Men beveelt aan ferromagnetische aneurysmaclips niet bloot te stellen aan het statische magneetveld van de MRI-scanner. |
|
Shellock 1998 |
In deze studie werden 22 aneurysmaclips getest in de nabijheid van een 0,2T extremiteiten MRI-scanner, zodanig dat de clips aan heel andere velden worden blootgesteld dan relevant voor de zoekvragen. |
|
Shellock 1998 |
Dit paper behandelt beeldartefacten op 1,5 T als gevolg van clips, maar behandelt geen zaken omtrent de veiligheid. Derhalve niet relevant voor de zoekvragen. |
|
Shellock 2002 |
Dit paper geeft eveneens een overzicht van in dit geval 109 geteste implantanten bij 3 T waarvan de resultaten gezien de auteur verwerkt zullen zijn op MRIsafety.com, zodanig dat er geen nieuwe inzichten zijn voor wat betreft de zoekvragen. |
|
Shellock 2002 |
In deze studie is een type MRI-scanner gebruikt anders dan de 1,5 en 3 T whole body systemen waarvoor deze richtlijn wordt opgesteld. |
|
Steiger 1999 |
Deze studie gaat over de effectiviteit van een clip voor het behandelen van een aneurysma. Men constateert dat met een MRI-angiografie scan als gevolg van beeldartefacten niet te beoordelen valt of de chirurgie succesvol was. Derhalve geen aanvullende informatie relevant voor de zoekvragen. |
|
Sutherland 2008 |
In dit paper beschrijft men de ontwikkeling van een nieuwe type clip van niet-ferromagnetisch materiaal. Het manuscript biedt geen nieuwe informatie voor wat betreft de zoekvragen. |
|
Syms 2000 |
Deze studie gaat over een ander type implantaat dan aneurysmaclips. |
|
Teitelbaum 1990 |
Deze studie gaat over een ander type implantaat dan aneurysmaclips bij andere veldsterktes dan waar deze richtlijn op focust. |
|
Van Loon 1997 |
In dit paper beschrijft men een vergelijk tussen CT versus MRI-angiografie om het succes van het plaatsen van aneurysmaclips te bepalen, waarbij niet werd gekeken naar de veiligheid van het MRI-onderzoek zelf. |
|
Weber 1991 |
Deze letter-to-the-editor biedt geen nieuwe inzichten relevant voor de zoekvragen. |
|
Wichmann 1997 |
Dit artikel focust op artefacten in beeldvorming als gevolg van de clips en geeft als zodanig geen inzichten m.b.t. de zoekvragen. |
|
Yang 2008 |
In dit paper is een chirurgische studie beschreven, zonder bevindingen relevant in het kader van MRI veiligheid. |
Verantwoording
Beoordelingsdatum en geldigheid
Publicatiedatum : 09-12-2025
Beoordeeld op geldigheid : 12-02-2026
Samenstelling werkgroep
Voor het ontwikkelen van de richtlijnmodule is in 2023 een multidisciplinair cluster ingesteld. Het cluster Beeldvormende diagnostiek bestaat uit meerdere richtlijnen, zie hier voor de actuele clusterindeling. De stuurgroep bewaakt het proces van modulair onderhoud binnen het cluster. De expertisegroepsleden geven hun expertise in, indien nodig. De volgende personen uit het cluster zijn betrokken geweest bij de herziening van deze module:
Clusterstuurgroep
- Drs. N. (Nanko) de Graaf, voorzitter, radioloog, NVvR (gestopt per 17-02-2025)
- Dr. S. (Stef) Levolger, (interventie)radioloog, NVvR (vanaf 10-03-2025)
- Dr. P.M. (Marc) van der Zee, cardioloog, NVvC
- Dr. J.W. (Jan Willem) Hinnen, vaatchirurg, NVvH
- Dr. Ir. M. (Marcel) van Straten, klinisch fysicus, NVKF
Clusterexpertisegroep
- Dr. M.B.M. (Mark) Hofman, klinisch fysicus, NVKF
- Dhr. Prof. Dr. A. (Bart) van der Zwan, NVvN
Met ondersteuning van
- Drs. D.A.M. (Danique) Middelhuis, adviseur, Kennisinstituut van de Federatie Medisch Specialisten
- Drs. A.L.J. (Andrea) Kortlever - van der Spek, adviseur, Kennisinstituut van de Federatie Medisch Specialisten (tot 01-07-2024)
- Dr. L. (Lotte) Houtepen, adviseur, Kennisinstituut van de Federatie Medisch Specialisten (vanaf 01-07-2024)
Belangenverklaringen
Een overzicht van de belangen van de clusterleden en het oordeel over het omgaan met eventuele belangen vindt u in onderstaande tabel. De ondertekende belangenverklaringen zijn op te vragen bij het secretariaat van het Kennisinstituut van de Federatie Medisch Specialisten via secretariaat@kennisinstituut.nl.
Clusterstuurgroepleden
|
Naam |
Hoofdfunctie |
Nevenwerkzaamheden |
Persoonlijke financiële belangen |
Persoonlijke relaties |
Extern gefinancierd onderzoek |
Intellectuele belangen en reputatie |
Overige belangen |
Datum |
Restrictie |
|
Nanko de Graaf* |
Academisch Medisch Specialist / Radioloog (betaald) Erasmus MC Rotterdam |
Bestuurslid sectie Techniek, NVvR (onbetaald) Bestuurslid NCS (Ned. Comm. Stralingsdosimetrie (onbetaald) Voorzitter richtlijn Veilig gebruik van intraveneuze contrastmiddelen bij kinderen (vacatiegelden) Adviescommissie Pocus (point of care ultrasound van de NVvR bij de NVK (onbetaald) |
Geen |
Geen |
Geen |
Geen |
Geen |
23-1-2023 |
Geen restrictie |
|
Stef Levolger* |
(Interventie)radioloog. Vrij gevestigd medisch specialist. Lid vakgroep Radiologie Maasstad Ziekenhuis/ MSB Maasstad Ziekenhuis. |
Arts-commissielid MEC-U (lokale METC). Vacatiegelden. |
Geen persoonlijke financiële belangen. |
Geen financieel baat bij de partner. Geen financieel baat in verdere directe omgeving voor zover bekend. |
- Medeaanvrager Zorginstuut Nederland (ZiN) Veelbelovende zorg subsidieregeling: ‘ThrOmbectomy in high-Risk Pulmonary Embolism – Device versus thrOmbolysis NetherLands’ (TORPEDO-NL) - Lokaal PI Short MRI Surveillance (SMS) studie. KWF gefinancierd. - ZonMw DoelmatigheidsOnderzoek Voorbereidende studies: ‘What are the direct and indirect costs for PRG and PEG in The Netherlands’ * ZiN/ZonMw - Trombectomie versus IV-trombolyse. Hoog risico longembolie patiënten - Geen projectleider * ZonMw - Pilotstudie. Microcosting. PRG versus PEG gastrostomie - Geen projectleider * KWF - Leverkankerscreening. Echografie versus MRI. Surveillance - Geen projectleider |
Geen |
Geen |
27-8-2024 |
Geen restrictie |
|
Marc van der Zee |
Cardioloog St Jansdal |
Coördinator onderzoek binnen St Jansdal ziekenhuis incl. aansturing onderzoeksverpleegkundigen |
Geen |
Geen |
Geen |
Geen |
Geen |
22-11-2022 |
Geen restrictie |
|
Jan-willem Hinnen |
Vaatchirurg Jeroen Bosch Ziekenhuis, ‘s Hertogenbosch |
Bestuur Nederlandse Vereniging voor Vaatchirurige Betrokken bij onderzoeken welke niet gerelateerd zijn aan het cluster |
Geen |
Geen |
Geen |
Geen |
Geen |
19-02-2023 |
Geen restrictie |
|
Marcel van Straten |
Klinisch Fysicus Erasmus MC |
Lid Commissie Straling NVKF |
n.v.t. |
n.v.t. |
Marcel is principal investigator van de lijn Physics in CT Technology. In samenwerking met Siemens wordt de nieuwe acquisitie- (het maken van scans) en postprocessingtechnieken (het verwerken van informatie uit scans) op met name de photon-counting scanner geëvalueerd. Verschillende onderwepen uit het cluster zijn gerelateerd aan het onderzoek. Echter, worden er binnen het cluster geen aanbevelingen opgesteld die herleidbaar zijn tot fabrikanten, zoals Siemans. Tevens begeleid hij PhD-studenten die een thesis schrijven over dit onderwerp. |
n.v.t. |
n.v.t. |
9-1-2024 |
Geen restrictie |
Betrokken clusterexpertisegroepleden
|
Naam |
Hoofdfunctie |
Nevenwerkzaamheden |
Persoonlijke financiële belangen |
Persoonlijke relaties |
Extern gefinancierd onderzoek |
Intellectuele belangen en reputatie |
Overige belangen |
Datum |
Restrictie |
|
Mark Hofman |
Klinisch fysicus, VU medisch centrum |
Geen |
Dienstverband bij UMC dat opereert op gebied van deze richtlijnen |
Geen |
Geen |
Reputatie binnen de NVKF op gebied van MRI |
Geen |
16-3-2023 |
Geen restrictie |
|
Bart van der Zwan |
Utrecht University Medical Center |
Geen |
Geen |
Geen |
Projectleider op CONTRAST/MRCLEAN projecten: NL Hartstichting, ZonMW, Health Holland. |
Geen |
Geen |
6-1-2025 |
|
Inbreng patiëntenperspectief
Kwalitatieve raming van mogelijke financiële gevolgen in het kader van de Wkkgz
Bij de richtlijnmodule voerden de clusterleden conform de Wet kwaliteit, klachten en geschillen zorg (Wkkgz) een kwalitatieve raming uit om te beoordelen of de aanbevelingen mogelijk leiden tot substantiële financiële gevolgen. Bij het uitvoeren van deze beoordeling is de richtlijnmodule op verschillende domeinen getoetst (zie het stroomschema bij Werkwijze).
|
Module |
Uitkomst raming |
Toelichting |
|
MRI bij cerebrale aneurysmaclip |
Geen financiële gevolgen |
Hoewel uit de toetsing volgt dat de aanbeveling(en) breed toepasbaar zijn (5.000-40.000 patiënten), volgt ook uit de toetsing dat het overgrote deel (±90%) van de zorgaanbieders en zorgverleners al aan de norm voldoet of het geen nieuwe manier van zorgverlening of andere organisatie van zorgverlening betreft. Er worden daarom geen financiële gevolgen verwacht. |
Werkwijze
Voor meer details over de gebruikte richtlijnmethodologie verwijzen wij u naar de Werkwijze. Relevante informatie voor de ontwikkeling/herziening van deze richtlijnmodule is hieronder weergegeven.
Zoekverantwoording
In 2016 is er een ‘structured review’ uitgevoerd van de wetenschappelijke literatuur, gebruik makend van de digitale databases in Pubmed en Sciencedirect, waaruit na voorselectie 63 relevant geachte artikelen zijn geselecteerd voor nadere bestudering op relevantie voor deze richtlijn door werkgroepleden. Deze zijn vervolgens door 2 personen bekeken.
|
Database |
Zoektermen |
Totaal |
|
Pubmed |
Magnetic resonance imaging or MRI Publication date > 1970/01/01 Safety Aneurysm Clip or clips |
63 |
|
Pubmed |
Magnetic resonance imaging or MRI Publication date > 1970/01/01 Aneurysm Clip or clips |
|
|
ScienceDirect |
Magnetic resonance imaging or MRI Publication date > 1999/01/01 Safety Aneurysm Clip or clips And not surgery |
Van deze 63 artikelen zijn er 19 relevant voor de zoekvragen, en verwerkt in de samenvatting.
Algemene informatie
|
Cluster/richtlijn: Beeldvormende diagnostiek - UV5 MRI bij cerebrale aneurysmaclips V2 |
|
|
Uitgangsvraag/modules: Wat zou het algemene beleid moeten zijn bij patiënten met een cerebrale aneurysmaclip die een MRI moeten ondergaan? |
|
|
Database(s): Embase.com, Ovid/Medline |
Datum: 18 december 2024 |
|
Periode: vanaf 2016 |
Talen: geen restrictie |
|
Literatuurspecialist: Esther van der Bijl |
Rayyan review: https://new.rayyan.ai/reviews/1251447/overview |
|
BMI-zoekblokken: voor verschillende opdrachten wordt (deels) gebruik gemaakt van de zoekblokken van BMI-Online https://blocks.bmi-online.nl/ Deduplicatie: voor het ontdubbelen is gebruik gemaakt van http://dedupendnote.nl:9777/ |
|
|
Toelichting: Voor deze vraag is gezocht op de elementen ‘cerebral aneurysm clips’ EN ‘MRI examination’. In overleg is besloten om de search smal op te zetten met een extra zoekblok ‘safety’.
Het sleutelartikel wordt gevonden met deze search. |
|
|
Te gebruiken voor richtlijntekst: A systematic literature search was performed by a medical information specialist using the following bibliographic databases: Embase.com and Ovid/Medline. Both databases were searched from 2016 to 18th of December 2024 for systematic reviews, RCTs and observational studies. Systematic searches were completed using a combination of controlled vocabulary/subject headings (e.g., Emtree-terms, MeSH) wherever they were available and natural language keywords. The overall search strategy was derived from three primary search concepts: (1) cerebral aneurysm clips; (2) MRI examination; (3) safety. Duplicates were removed using EndNote software. After deduplication a total of 213 records were imported for title/abstract screening. |
|
Zoekopbrengst
18 december 2024
|
|
EMBASE |
OVID/MEDLINE |
Ontdubbeld |
|
SR |
14 |
3 |
15 |
|
RCT |
19 |
3 |
21 |
|
Observationele studies |
91 |
32 |
105 |
|
Overige studies |
69 |
27 |
72 |
|
Totaal |
193 |
65 |
213* |
*in Rayyan
Zoekstrategie
Embase.com - 18 december 2024
|
No. |
Query |
Results |
|
#1 |
'aneurysm clip'/exp OR 'aneurysm clipping'/exp OR (((aneurysm OR sugita OR yasargil OR mizuho OR aesculap OR phynox OR ferromagnetic* OR nonferromagnetic OR magnetic* OR iron OR steel OR ferrous OR titanium OR nickel OR chromium OR cobalt OR surg* OR operat*) NEAR/3 clip*):ti,ab,kw) OR (('intracranial aneurysm'/exp OR (((intracranial* OR cereb* OR brain* OR encephalon* OR intracerebra*) NEAR/3 aneurysm*):ti,ab,kw)) AND ('clipping'/exp OR 'clipping surgery'/exp OR clip*:ti,ab,kw)) OR 'neurosurgical clipping'/exp OR (((neurosurg* OR brain* OR cerebra* OR cerebrum OR encephalon OR cerebellar OR cerebellum OR intracerebral OR intracranial*) NEAR/3 clip*):ti,ab,kw) |
15937 |
|
#2 |
'nuclear magnetic resonance imaging'/exp OR 'mri scanner'/exp OR ('magnetic resonance':ab,ti AND (image:ab,ti OR images:ab,ti OR imaging:ab,ti)) OR mri:ab,ti OR mris:ab,ti OR nmr:ab,ti OR mra:ab,ti OR mras:ab,ti OR zeugmatograph*:ab,ti OR 'mr tomography':ab,ti OR 'mr tomographies':ab,ti OR 'mr tomographic':ab,ti OR 'mr imag*':ti,ab,kw OR 'proton spin':ab,ti OR ((magneti*:ab,ti OR 'chemical shift':ab,ti) AND imaging:ab,ti) OR fmri:ab,ti OR fmris:ab,ti OR rsfmri:ti,ab,kw |
1696717 |
|
#3 |
#1 AND #2 |
2561 |
|
#4 |
(('magnetic resonance imaging' OR mri OR mr) NEAR/7 clip* NEAR/7 (cereb* OR brain* OR intracran*)):ti,ab,kw |
68 |
|
#5 |
(('magnetic resonance imaging' OR mri OR mr) NEAR/7 compatible NEAR/7 clip*):ti,ab,kw |
22 |
|
#6 |
#3 OR #4 OR #5 |
2581 |
|
#7 |
'safety'/exp OR 'risk assessment'/exp OR 'risk management'/exp OR safe*:ti,ab,kw |
3105091 |
|
#8 |
#6 AND #7 |
436 |
|
#9 |
#8 AND [2016-2025]/py NOT ('conference abstract'/it OR 'editorial'/it OR 'letter'/it OR 'note'/it) NOT (('animal'/exp OR 'animal experiment'/exp OR 'animal model'/exp OR 'nonhuman'/exp) NOT 'human'/exp) |
193 |
|
#10 |
'meta analysis'/exp OR 'meta analysis (topic)'/exp OR 'systematic review'/exp OR 'systematic review (topic)'/exp OR 'scoping review'/exp OR 'rapid review'/exp OR 'umbrella review'/exp OR 'cochrane database of systematic reviews'/jt OR 'network meta-analysis'/exp OR 'networkmeta analy*':ti,ab,kw OR 'networkmetaanaly*':ti,ab,kw OR metaanaly*:ti,ab,kw OR 'meta analy*':ti,ab,kw OR metanaly*:ti,ab,kw OR prisma:ti,ab,kw OR prospero:ti,ab,kw OR metaanali*:ti,ab,kw OR 'meta anali*':ti,ab,kw OR metanali*:ti,ab,kw OR (((systemati* OR scoping OR umbrella OR 'structured literature') NEAR/3 (review* OR overview*)):ti,ab,kw) OR (((structured OR systemic*) NEAR/3 (review* OR overview* OR synth*) NEAR/3 literature):ti,ab,kw) OR ((systemic* NEAR/1 review*):ti,ab,kw) OR (((systemati* OR literature OR database* OR 'data base*') NEAR/10 search*):ti,ab,kw) OR (((structured OR comprehensive* OR systemic*) NEAR/3 search*):ti,ab,kw) OR (((literature NEAR/3 (review* OR overview*)):ti,ab,kw) AND (search*:ti,ab,kw OR database*:ti,ab,kw OR 'data base*':ti,ab,kw)) OR (('data extraction*':ti,ab,kw OR 'data source*':ti,ab,kw) AND ('study selection*':ti,ab,kw OR 'studies selection*':ti,ab,kw)) OR ('search strateg*':ti,ab,kw AND 'selection criteria*':ti,ab,kw) OR ('data source*':ti,ab,kw AND 'data synth*':ti,ab,kw) OR medline*:ti,ab,kw OR pubmed*:ti,ab,kw OR 'pub med*':ti,ab,kw OR embase:ti,ab,kw OR cochrane*:ti,ab,kw OR (((critical* OR rapid*) NEAR/2 (review* OR overview* OR synth*)):ti) OR ((((critical* OR rapid*) NEAR/3 (review* OR overview* OR synth*)):ab) AND (search*:ab OR database*:ab OR 'data base*':ab)) OR metasynth*:ti,ab,kw OR 'meta synth*':ti,ab,kw OR 'review* of review*':ti,ab,kw |
1105020 |
|
#11 |
'clinical trial'/exp OR 'randomization'/exp OR 'single blind procedure'/exp OR 'double blind procedure'/exp OR 'crossover procedure'/exp OR 'placebo'/exp OR 'prospective study'/exp OR rct:ab,ti OR random*:ab,ti OR 'single blind':ab,ti OR 'randomised controlled trial':ab,ti OR 'randomized controlled trial'/exp OR placebo*:ab,ti |
4171622 |
|
#12 |
'major clinical study'/de OR 'clinical study'/de OR 'case control study'/de OR 'family study'/de OR 'longitudinal study'/de OR 'retrospective study'/de OR 'prospective study'/de OR 'comparative study'/de OR 'cohort analysis'/de OR ((cohort NEAR/1 (study OR studies)):ab,ti) OR (('case control' NEAR/1 (study OR studies)):ab,ti) OR (('follow up' NEAR/1 (study OR studies)):ab,ti) OR (observational NEAR/1 (study OR studies)) OR ((epidemiologic NEAR/1 (study OR studies)):ab,ti) OR (('cross sectional' NEAR/1 (study OR studies)):ab,ti) |
8559483 |
|
#13 |
'case control study'/de OR 'comparative study'/exp OR 'control group'/de OR 'controlled study'/de OR 'controlled clinical trial'/de OR 'crossover procedure'/de OR 'double blind procedure'/de OR 'phase 2 clinical trial'/de OR 'phase 3 clinical trial'/de OR 'phase 4 clinical trial'/de OR 'pretest posttest design'/de OR 'pretest posttest control group design'/de OR 'quasi experimental study'/de OR 'single blind procedure'/de OR 'triple blind procedure'/de OR (((control OR controlled) NEAR/6 trial):ti,ab,kw) OR (((control OR controlled) NEAR/6 (study OR studies)):ti,ab,kw) OR (((control OR controlled) NEAR/1 active):ti,ab,kw) OR 'open label*':ti,ab,kw OR (((double OR two OR three OR multi OR trial) NEAR/1 (arm OR arms)):ti,ab,kw) OR ((allocat* NEAR/10 (arm OR arms)):ti,ab,kw) OR placebo*:ti,ab,kw OR 'sham-control*':ti,ab,kw OR (((single OR double OR triple OR assessor) NEAR/1 (blind* OR masked)):ti,ab,kw) OR nonrandom*:ti,ab,kw OR 'non-random*':ti,ab,kw OR 'quasi-experiment*':ti,ab,kw OR crossover:ti,ab,kw OR 'cross over':ti,ab,kw OR 'parallel group*':ti,ab,kw OR 'factorial trial':ti,ab,kw OR ((phase NEAR/5 (study OR trial)):ti,ab,kw) OR ((case* NEAR/6 (matched OR control*)):ti,ab,kw) OR ((match* NEAR/6 (pair OR pairs OR cohort* OR control* OR group* OR healthy OR age OR sex OR gender OR patient* OR subject* OR participant*)):ti,ab,kw) OR ((propensity NEAR/6 (scor* OR match*)):ti,ab,kw) OR versus:ti OR vs:ti OR compar*:ti OR ((compar* NEAR/1 study):ti,ab,kw) OR (('major clinical study'/de OR 'clinical study'/de OR 'cohort analysis'/de OR 'observational study'/de OR 'cross-sectional study'/de OR 'multicenter study'/de OR 'correlational study'/de OR 'follow up'/de OR cohort*:ti,ab,kw OR 'follow up':ti,ab,kw OR followup:ti,ab,kw OR longitudinal*:ti,ab,kw OR prospective*:ti,ab,kw OR retrospective*:ti,ab,kw OR observational*:ti,ab,kw OR 'cross sectional*':ti,ab,kw OR cross?ectional*:ti,ab,kw OR multicent*:ti,ab,kw OR 'multi-cent*':ti,ab,kw OR consecutive*:ti,ab,kw) AND (group:ti,ab,kw OR groups:ti,ab,kw OR subgroup*:ti,ab,kw OR versus:ti,ab,kw OR vs:ti,ab,kw OR compar*:ti,ab,kw OR 'odds ratio*':ab OR 'relative odds':ab OR 'risk ratio*':ab OR 'relative risk*':ab OR 'rate ratio':ab OR aor:ab OR arr:ab OR rrr:ab OR ((('or' OR 'rr') NEAR/6 ci):ab))) |
15652995 |
|
#14 |
#9 AND #10 - SR |
14 |
|
#15 |
#9 AND #11 NOT #14 - RCT |
19 |
|
#16 |
#9 AND (#12 OR #13) NOT (#14 OR #15) – Observationeel |
91 |
|
#17 |
#9 NOT (#14 OR #15 OR #16) – Overig |
69 |
|
#18 |
#14 OR #15 OR #16 OR #17 - Totaal |
193 |
Ovid/Medline - 18 december 2024
|
# |
Searches |
Results |
|
1 |
((aneurysm or sugita or yasargil or mizuho or aesculap or phynox or ferromagnetic* or nonferromagnetic or magnetic* or iron or steel or ferrous or titanium or nickel or chromium or cobalt or surg* or operat*) adj3 clip*).ti,ab,kf. or ((exp Intracranial Aneurysm/ or ((intracranial* or cereb* or brain* or encephalon* or intracerebra*) adj3 aneurysm*).ti,ab,kf.) and clip*.ti,ab,kf.) or ((neurosurg* or brain* or cerebra* or cerebrum or encephalon or cerebellar or cerebellum or intracerebral or intracranial*) adj3 clip*).ti,ab,kf. |
10321 |
|
2 |
exp magnetic resonance imaging/ or ("magnetic resonance" and (image or images or imaging)).ti,ab,kf. or mri.ti,ab,kf. or mris.ti,ab,kf. or nmr.ti,ab,kf. or mra.ti,ab,kf. or mras.ti,ab,kf. or zeugmatograph*.ti,ab,kf. or "mr tomography".ti,ab,kf. or "mr tomographies".ti,ab,kf. or "mr tomographic".ti,ab,kf. or 'mr imag*'.ti,ab,kf. or "proton spin".ti,ab,kf. or ((magneti* or "chemical shift") and imaging).ti,ab,kf. or fmri.ti,ab,kf. or fmris.ti,ab,kf. or rsfmri.ti,ab,kf. |
1027786 |
|
3 |
1 and 2 |
1128 |
|
4 |
(('magnetic resonance imaging' or mri or mr) adj7 clip* adj7 (cereb* or brain* or intracran*)).ti,ab,kf. |
39 |
|
5 |
(('magnetic resonance imaging' or mri or mr) adj7 compatible adj7 clip*).ti,ab,kf. |
13 |
|
6 |
3 or 4 or 5 |
1138 |
|
7 |
exp Safety/ or exp Risk Assessment/ or Risk Management/ or safe*.ti,ab,kf. |
1628932 |
|
8 |
6 and 7 |
168 |
|
9 |
limit 8 to yr="2016 -Current" |
66 |
|
10 |
9 not (comment/ or editorial/ or letter/) not ((exp animals/ or exp models, animal/) not humans/) |
65 |
|
11 |
meta-analysis/ or meta-analysis as topic/ or (metaanaly* or meta-analy* or metanaly*).ti,ab,kf. or systematic review/ or cochrane.jw. or (prisma or prospero).ti,ab,kf. or ((systemati* or scoping or umbrella or "structured literature") adj3 (review* or overview*)).ti,ab,kf. or (systemic* adj1 review*).ti,ab,kf. or ((systemati* or literature or database* or data-base*) adj10 search*).ti,ab,kf. or ((structured or comprehensive* or systemic*) adj3 search*).ti,ab,kf. or ((literature adj3 review*) and (search* or database* or data-base*)).ti,ab,kf. or (("data extraction" or "data source*") and "study selection").ti,ab,kf. or ("search strategy" and "selection criteria").ti,ab,kf. or ("data source*" and "data synthesis").ti,ab,kf. or (medline or pubmed or embase or cochrane).ab. or ((critical or rapid) adj2 (review* or overview* or synthes*)).ti. or (((critical* or rapid*) adj3 (review* or overview* or synthes*)) and (search* or database* or data-base*)).ab. or (metasynthes* or meta-synthes*).ti,ab,kf. |
797532 |
|
12 |
exp clinical trial/ or randomized controlled trial/ or exp clinical trials as topic/ or randomized controlled trials as topic/ or Random Allocation/ or Double-Blind Method/ or Single-Blind Method/ or (clinical trial, phase i or clinical trial, phase ii or clinical trial, phase iii or clinical trial, phase iv or controlled clinical trial or randomized controlled trial or multicenter study or clinical trial).pt. or random*.ti,ab. or (clinic* adj trial*).tw. or ((singl* or doubl* or treb* or tripl*) adj (blind$3 or mask$3)).tw. or Placebos/ or placebo*.tw. |
2820861 |
|
13 |
Epidemiologic studies/ or case control studies/ or exp cohort studies/ or Controlled Before-After Studies/ or Case control.tw. or cohort.tw. or Cohort analy$.tw. or (Follow up adj (study or studies)).tw. or (observational adj (study or studies)).tw. or Longitudinal.tw. or Retrospective*.tw. or prospective*.tw. or consecutive*.tw. or Cross sectional.tw. or Cross-sectional studies/ or historically controlled study/ or interrupted time series analysis/ [Onder exp cohort studies vallen ook longitudinale, prospectieve en retrospectieve studies] |
4911524 |
|
14 |
Case-control Studies/ or clinical trial, phase ii/ or clinical trial, phase iii/ or clinical trial, phase iv/ or comparative study/ or control groups/ or controlled before-after studies/ or controlled clinical trial/ or double-blind method/ or historically controlled study/ or matched-pair analysis/ or single-blind method/ or (((control or controlled) adj6 (study or studies or trial)) or (compar* adj (study or studies)) or ((control or controlled) adj1 active) or "open label*" or ((double or two or three or multi or trial) adj (arm or arms)) or (allocat* adj10 (arm or arms)) or placebo* or "sham-control*" or ((single or double or triple or assessor) adj1 (blind* or masked)) or nonrandom* or "non-random*" or "quasi-experiment*" or "parallel group*" or "factorial trial" or "pretest posttest" or (phase adj5 (study or trial)) or (case* adj6 (matched or control*)) or (match* adj6 (pair or pairs or cohort* or control* or group* or healthy or age or sex or gender or patient* or subject* or participant*)) or (propensity adj6 (scor* or match*))).ti,ab,kf. or (confounding adj6 adjust*).ti,ab. or (versus or vs or compar*).ti. or ((exp cohort studies/ or epidemiologic studies/ or multicenter study/ or observational study/ or seroepidemiologic studies/ or (cohort* or 'follow up' or followup or longitudinal* or prospective* or retrospective* or observational* or multicent* or 'multi-cent*' or consecutive*).ti,ab,kf.) and ((group or groups or subgroup* or versus or vs or compar*).ti,ab,kf. or ('odds ratio*' or 'relative odds' or 'risk ratio*' or 'relative risk*' or aor or arr or rrr).ab. or (("OR" or "RR") adj6 CI).ab.)) |
5862590 |
|
15 |
10 and 11 - SR |
3 |
|
16 |
(10 and 12) not 15 - RCT |
3 |
|
17 |
(10 and (13 or 14)) not (15 or 16) – Observationeel |
32 |
|
18 |
10 not (15 or 16 or 17) – Overig |
27 |
|
19 |
15 or 16 or 17 or 18 - Totaal |
65 |
Zoekverantwoording Databases van Recalls en Events
|
Database |
Zoektermen1 |
Totaal |
|
FDA Recalls database2
doorzocht op 14-3-2025 |
1 Reason for recall (‘MR’ OR ‘magnetic’) AND recall date from Jan. 25, 2019 (105) 2 betreft ‘clip’ (0)
= 0 |
|
|
FDA Recalls database2
doorzocht op 9-12-2022 |
1 Reason for recall (‘MR’ OR ‘magnetic’) AND recall date from Jan. 25, 2019 (264) 2 betreft implantaat en MRI (12) 3 betreft relevant implantaat voor deze module (0)
= 0 |
0 |
|
FDA Recalls database2 loopt vanaf 2002
doorzocht op 25-1-2019 |
1 Reason for recall ‘MR’ OR ‘magnetic’ (329) 2 betreft implantaat en MRI (9) 3 betreft relevant implantaat voor deze module (0)
= 0 |
|
|
IGJ database veiligheidsmeldingen3 meldingen vanaf 14-10-2022
doorzocht op 14-2-2025 |
1a ‘MR’ (30) 1b ‘MRI’ (33) 1c ‘Magnetic’ (8) 2 betreft implantaat en MRI (3) 3 betreft relevant implantaat voor deze module (0) |
|
|
IGJ database veiligheidsmeldingen3, 9 zonder restrictie op datum
doorzocht op 2-12-2022 |
1a ‘MR’ (93) 1b ‘MRI’ (99) 1c ‘magnetic’ (42) 2 betreft implantaat en MRI (5) 3 betreft relevant voor deze module (0)
= 0 |
|
|
IGJ database veiligheidsmeldingen3 meldingen vanaf 15-12-2015
doorzocht op 29-1-2019 |
1a ‘MR’ (22) 1b ‘MRI’ (15) 1c ‘Magnetic’ (11) 2 betreft implantaat en MRI (4) 3 betreft relevant implantaat voor deze module (0)
= 0 |
|
|
IGZ archief4
doorzocht op 17- en 29-1-2019 |
1a ‘MR’ (98) 1b ‘MRI’ (92) 1c ‘Magnetic’ (27) 2 betreft implantaat en MRI (0) 3 betreft relevant implantaat voor deze module (0)
= 0 |
|
|
ICIJ database Implants5
doorzocht op 18-1-2019 |
1a ‘MR’ (38) 1b ‘MRI’ (17) 2 betreft implantaat en MRI (0) 3 betreft relevant implantaat voor deze module (0)
= 0 |
|
|
ICIJ database Events5
doorzocht op 25-1-2019 |
1a Data notes contains ‘aneurysm’ OR ’clips’) AND Reason contains ‘mr’ OR ‘magnetic’ (0)
= 0 |
|
|
ICIJ database Events5
doorzocht op 18 en 25-1-2019 |
1a ‘MR’ (603) 1b ‘magnetic’ (185) 2 beoordelen of de hits niet uit de FDA-database komen (0)
= 0 Deze database heeft overlap met de FDA database2. |
|
|
FDA MDR 6 (1984-1997) doorzocht op 22-10-2021 |
1a code (‘LNH’ AND ‘clip’) OR (‘MRI’ AND ‘clip’) (10) 1b code ‘LNI’ AND ‘Clip’ (0) 2 relevant voor deze richtlijn (4)
= 410 |
4 |
|
FDA Medsun database 7 1-9-2021 tot 2025
doorzocht op 14-2-2025 |
1a Devicetype =‘MRI’ (1) 1b Devicetype=‘clip’(285) 1c Event ‘MRI’ (95) 2 relevant voor deze richtlijn (0)
= 0 |
0 |
|
FDA Medsun database 7 vanaf 2006
doorzocht op 22-10-2021
|
1a Devicetype =‘MRI’ (61) 1b Devicetype=’clip’(1023) 2 relevant voor deze richtlijn (0)
= 0 |
0 |
|
FDA MAUDE database 8 2021-2025
doorzocht op 14-2-2025 |
1a melding bevat tekst ‘aneurysm clip’ AND ‘MRI’ (18) 2 relevant (6) 3 na ontdubbelen met vorige search (0)
=0 |
0 |
|
FDA MAUDE database 8 vanaf 1992
doorzocht op 22-10-2021 |
1a melding bevat tekst ‘aneurysm clip’ AND ‘MRI’ (47) 2 relevant (12)
= 1211 |
12 |
1. De databases hebben beperkte en onderling verschillende mogelijkheden om deze te doorzoeken. Gekozen is voor de zoek strategieën via MRI. Daarna zijn alle hits hierop na stap 1 gelezen en beoordeeld of ze een implantaat betreffen, en vervolgens of het implantaat relevant is voor deze module. Daarnaast hebben de databases beperkingen, een voorbeeld hiervan is dat een MRI gerelateerde melding van een implantaat uit de database van IGZ niet wordt gevonden in de FDA-database omdat aldaar de link naar MRI is weggevallen.
2. https://www.accessdata.fda.gov/scripts/cdrh/cfdocs/cfres/res.cfm
3. https://www.igj.nl/onderwerpen/waarschuwingen-medische-hulpmiddelen/documenten
4. https://igj.archiefweb.eu/?subsite=igz#archive
5. https://medicaldevices.icij.org/
6. https://www.accessdata.fda.gov/scripts/cdrh/cfdocs/cfmdr/search.CFM
7. https://www.accessdata.fda.gov/scripts/cdrh/cfdocs/medsun/searchreporttext.cfm
9. Het blijkt dat bij een query in de IGJ database uitgevoerd op 2 december 2022 met als datum tot=30 januari 2019 en als zoekterm=MRI méér hits gevonden worden dan met de query zoekterm=MRI uitgevoerd op 29 januari 2019. Kennelijk zijn er sindsdien nog meldingen toegevoegd met een datum eerder dan 30 januari 2019. De eerdere queries zijn daarom herhaald (zonder ‘datum vanaf’).
10. Jaartal en rapportnummer: 1992: M349790, M359096. 1993: M362942, M518365.
11. Jaartal en rapportnummer: 2016: 55750140, 5980600, 5895839, 7609598. 2017: 7289224. 2018: 255079248. 2021: 55750140, 5980600, 5895839, 7609598, 7289224, 255079248.


